mp-1223867/K3I2Br/anharm

Harmonic properties

../../_images/fig_bandos_pr15040.png

(a) Phonon dispersion with participation ratio and DOS

../../_images/fig_thermo15039.png

(b) Thermodynamic properties

Grüneisen parameters

../../_images/fig_gru_all6464.png

(a) Grüneisen parameters

../../_images/fig_gruneisen6464.png

(b) Phonon dispersion with Grüneisen parameters

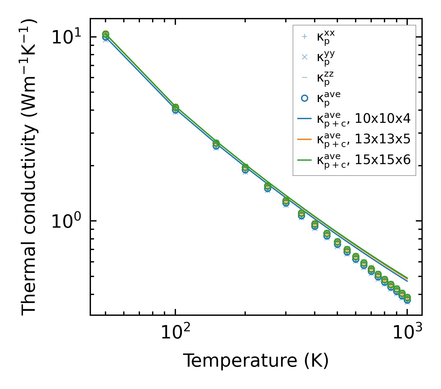
Thermal conductivity

3-phonon — q-mesh: 15x15x6, supercell: 3x3x2

../../_images/fig_kappa12158.png

(a) Temperature-dependent lattice thermal conductivity

../../_images/fig_kappa_vs_grain_size6541.png

(b) Peierls lattice thermal conductivity w.r.t grain size

Phonon lifetime and scattering rates

../../_images/fig_lifetime6398.png

(a) Phonon lifetime due to phonon-phonon scattering

../../_images/fig_scat_rates6397.png

(b) Phonon scattering rates

Cumulative and spectral thermal conductivity

../../_images/fig_cumu_frequency6398.png

(a) Spectral and cumulative thermal conductivity w.r.t frequency

../../_images/fig_cumu_mfp6397.png

(b) Spectral and cumulative thermal conductivity w.r.t MFP

Force constants

../../_images/fig_fc3384.png

(a) Force constants w.r.t atomic distance

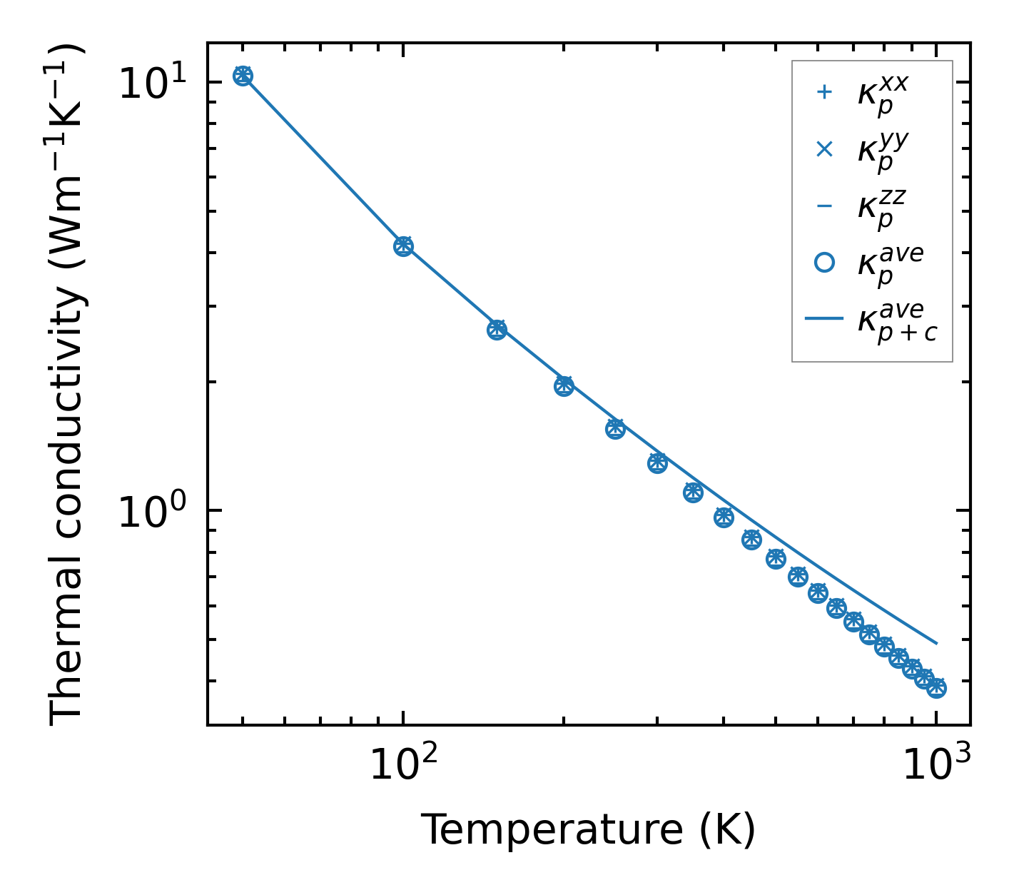
Summary

../../_images/fig_kappa12159.png

(a) Temperature-dependent lattice thermal conductivity

../../_images/fig_times24889.png

(b) Computation time