mp-1223800/K2NbO3F/anharm

Harmonic properties

../../_images/fig_bandos_pr15352.png

(a) Phonon dispersion with participation ratio and DOS

../../_images/fig_thermo15351.png

(b) Thermodynamic properties

Grüneisen parameters

../../_images/fig_gru_all6635.png

(a) Grüneisen parameters

../../_images/fig_gruneisen6635.png

(b) Phonon dispersion with Grüneisen parameters

Thermal conductivity

3-phonon (LASSO) — q-mesh: 15x15x15, supercell: 3x3x1

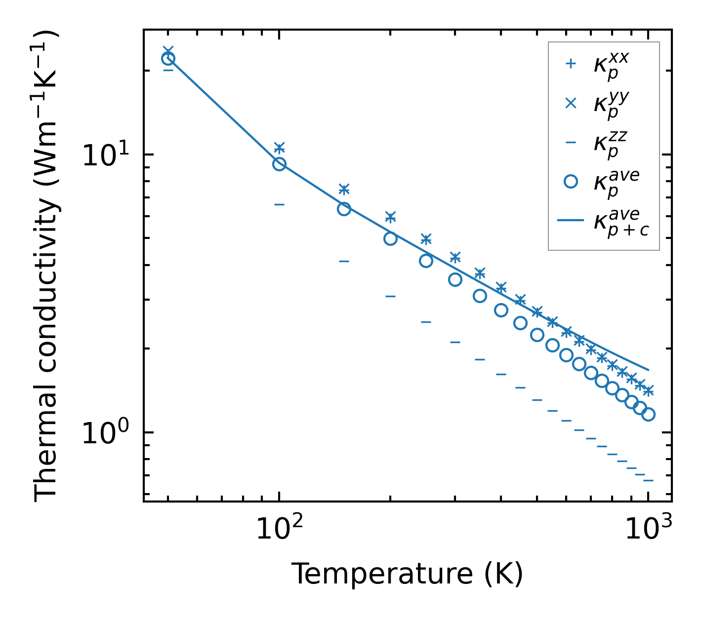
../../_images/fig_kappa12494.png

(a) Temperature-dependent lattice thermal conductivity

../../_images/fig_kappa_vs_grain_size6713.png

(b) Peierls lattice thermal conductivity w.r.t grain size

Phonon lifetime and scattering rates

../../_images/fig_lifetime6569.png

(a) Phonon lifetime due to phonon-phonon scattering

../../_images/fig_scat_rates6568.png

(b) Phonon scattering rates

Cumulative and spectral thermal conductivity

../../_images/fig_cumu_frequency6569.png

(a) Spectral and cumulative thermal conductivity w.r.t frequency

../../_images/fig_cumu_mfp6568.png

(b) Spectral and cumulative thermal conductivity w.r.t MFP

Force constants

../../_images/fig_fc214955.png

(a) Force constants w.r.t atomic distance

Summary

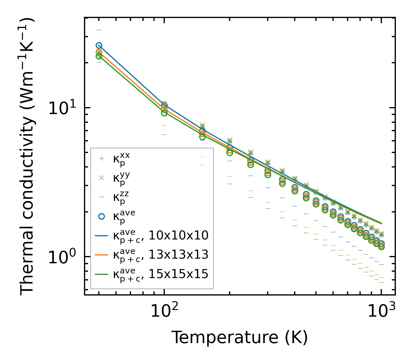
../../_images/fig_kappa12495.png

(a) Temperature-dependent lattice thermal conductivity

../../_images/fig_times25388.png

(b) Computation time