mp-1223790/K3BrCl2/anharm

Harmonic properties

../../_images/fig_bandos_pr15350.png

(a) Phonon dispersion with participation ratio and DOS

../../_images/fig_thermo15349.png

(b) Thermodynamic properties

Grüneisen parameters

../../_images/fig_gru_all6633.png

(a) Grüneisen parameters

../../_images/fig_gruneisen6633.png

(b) Phonon dispersion with Grüneisen parameters

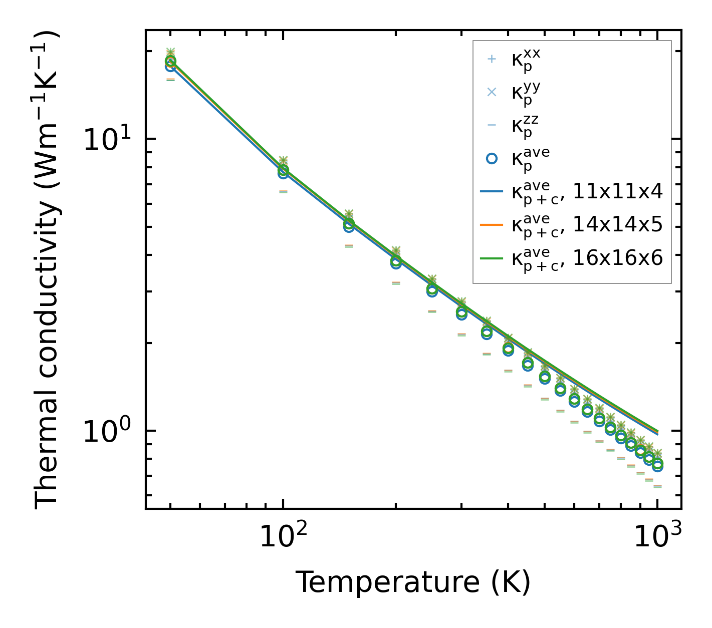
Thermal conductivity

3-phonon — q-mesh: 16x16x6, supercell: 3x3x2

../../_images/fig_kappa12490.png

(a) Temperature-dependent lattice thermal conductivity

../../_images/fig_kappa_vs_grain_size6711.png

(b) Peierls lattice thermal conductivity w.r.t grain size

Phonon lifetime and scattering rates

../../_images/fig_lifetime6567.png

(a) Phonon lifetime due to phonon-phonon scattering

../../_images/fig_scat_rates6566.png

(b) Phonon scattering rates

Cumulative and spectral thermal conductivity

../../_images/fig_cumu_frequency6567.png

(a) Spectral and cumulative thermal conductivity w.r.t frequency

../../_images/fig_cumu_mfp6566.png

(b) Spectral and cumulative thermal conductivity w.r.t MFP

Force constants

../../_images/fig_fc3397.png

(a) Force constants w.r.t atomic distance

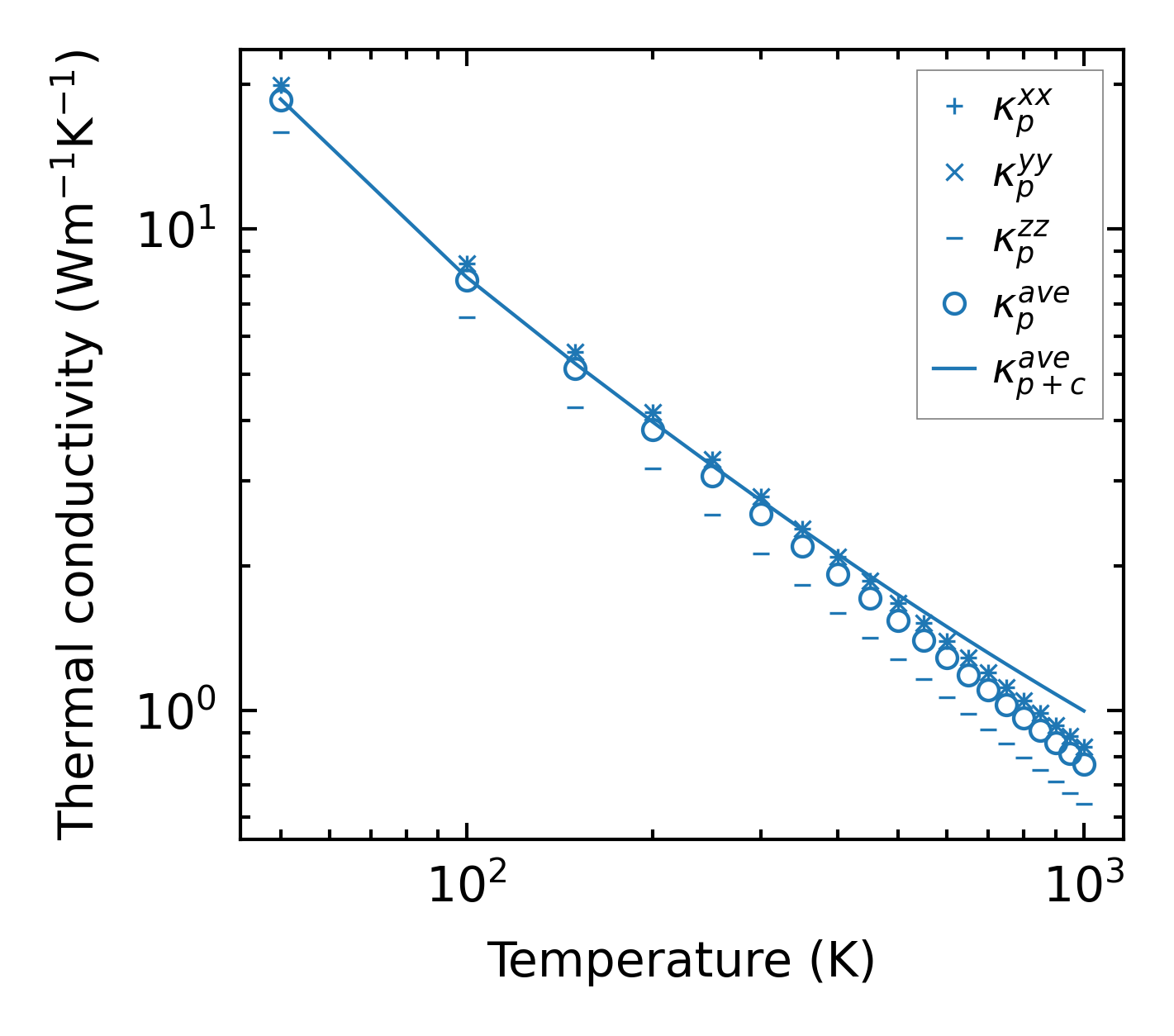
Summary

../../_images/fig_kappa12491.png

(a) Temperature-dependent lattice thermal conductivity

../../_images/fig_times25386.png

(b) Computation time