mp-1223307/KRbCl2/anharm

Harmonic properties

../../_images/fig_bandos_pr15334.png

(a) Phonon dispersion with participation ratio and DOS

../../_images/fig_thermo15333.png

(b) Thermodynamic properties

Grüneisen parameters

../../_images/fig_gru_all6624.png

(a) Grüneisen parameters

../../_images/fig_gruneisen6624.png

(b) Phonon dispersion with Grüneisen parameters

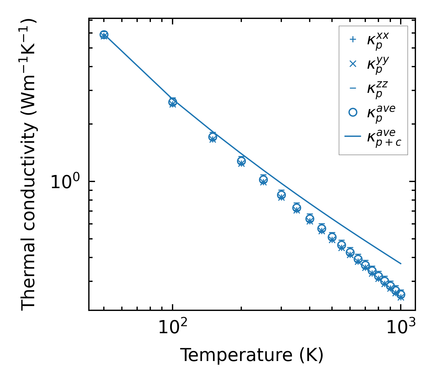
Thermal conductivity

3-phonon — q-mesh: 13x13x18, supercell: 3x3x4

../../_images/fig_kappa12472.png

(a) Temperature-dependent lattice thermal conductivity

../../_images/fig_kappa_vs_grain_size6702.png

(b) Peierls lattice thermal conductivity w.r.t grain size

Phonon lifetime and scattering rates

../../_images/fig_lifetime6558.png

(a) Phonon lifetime due to phonon-phonon scattering

../../_images/fig_scat_rates6557.png

(b) Phonon scattering rates

Cumulative and spectral thermal conductivity

../../_images/fig_cumu_frequency6558.png

(a) Spectral and cumulative thermal conductivity w.r.t frequency

../../_images/fig_cumu_mfp6557.png

(b) Spectral and cumulative thermal conductivity w.r.t MFP

Force constants

../../_images/fig_fc3395.png

(a) Force constants w.r.t atomic distance

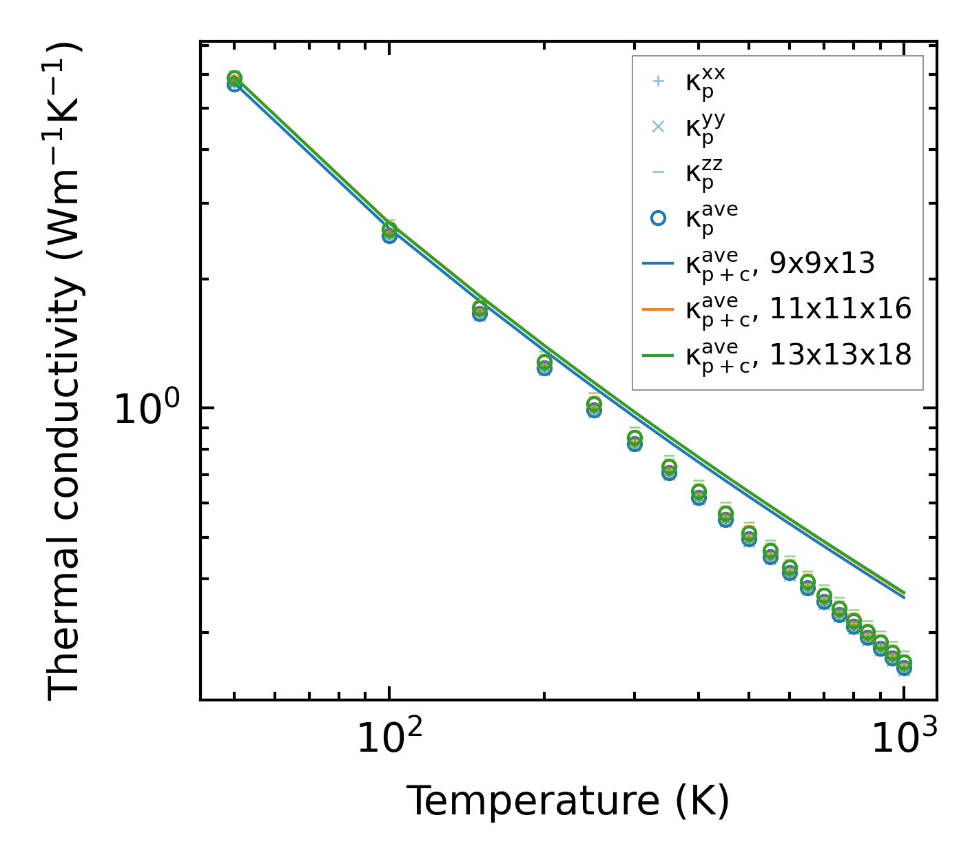
Summary

../../_images/fig_kappa12473.png

(a) Temperature-dependent lattice thermal conductivity

../../_images/fig_times25366.png

(b) Computation time