mp-1218707/Sr2SeS/anharm

Harmonic properties

../../_images/fig_bandos_pr15257.png

(a) Phonon dispersion with participation ratio and DOS

../../_images/fig_thermo15256.png

(b) Thermodynamic properties

Grüneisen parameters

../../_images/fig_gru_all6576.png

(a) Grüneisen parameters

../../_images/fig_gruneisen6576.png

(b) Phonon dispersion with Grüneisen parameters

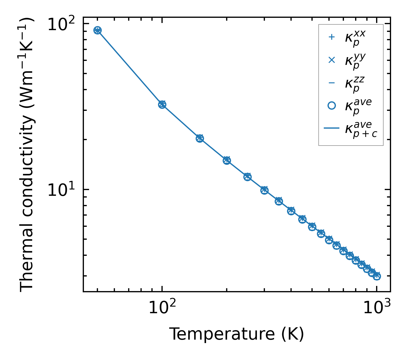
Thermal conductivity

3-phonon — q-mesh: 14x14x14, supercell: 3x3x1

../../_images/fig_kappa12378.png

(a) Temperature-dependent lattice thermal conductivity

../../_images/fig_kappa_vs_grain_size6653.png

(b) Peierls lattice thermal conductivity w.r.t grain size

Phonon lifetime and scattering rates

../../_images/fig_lifetime6510.png

(a) Phonon lifetime due to phonon-phonon scattering

../../_images/fig_scat_rates6509.png

(b) Phonon scattering rates

Cumulative and spectral thermal conductivity

../../_images/fig_cumu_frequency6510.png

(a) Spectral and cumulative thermal conductivity w.r.t frequency

../../_images/fig_cumu_mfp6509.png

(b) Spectral and cumulative thermal conductivity w.r.t MFP

Force constants

../../_images/fig_fc3389.png

(a) Force constants w.r.t atomic distance

Summary

../../_images/fig_kappa12379.png

(a) Temperature-dependent lattice thermal conductivity

../../_images/fig_times25237.png

(b) Computation time