mp-1218019/SrPbS2/anharm

Harmonic properties

../../_images/fig_bandos_pr15238.png

(a) Phonon dispersion with participation ratio and DOS

../../_images/fig_thermo15237.png

(b) Thermodynamic properties

Grüneisen parameters

../../_images/fig_gru_all6561.png

(a) Grüneisen parameters

../../_images/fig_gruneisen6561.png

(b) Phonon dispersion with Grüneisen parameters

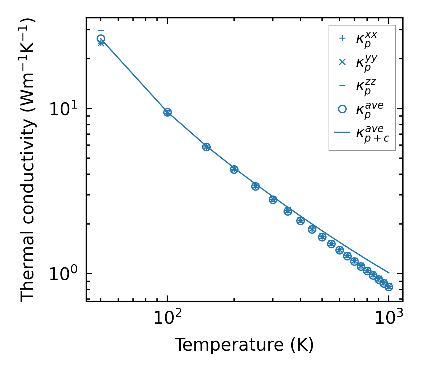
Thermal conductivity

3-phonon (LASSO) — q-mesh: 15x15x15, supercell: 3x3x1

../../_images/fig_kappa12348.png

(a) Temperature-dependent lattice thermal conductivity

../../_images/fig_kappa_vs_grain_size6638.png

(b) Peierls lattice thermal conductivity w.r.t grain size

Phonon lifetime and scattering rates

../../_images/fig_lifetime6495.png

(a) Phonon lifetime due to phonon-phonon scattering

../../_images/fig_scat_rates6494.png

(b) Phonon scattering rates

Cumulative and spectral thermal conductivity

../../_images/fig_cumu_frequency6495.png

(a) Spectral and cumulative thermal conductivity w.r.t frequency

../../_images/fig_cumu_mfp6494.png

(b) Spectral and cumulative thermal conductivity w.r.t MFP

Force constants

../../_images/fig_fc214850.png

(a) Force constants w.r.t atomic distance

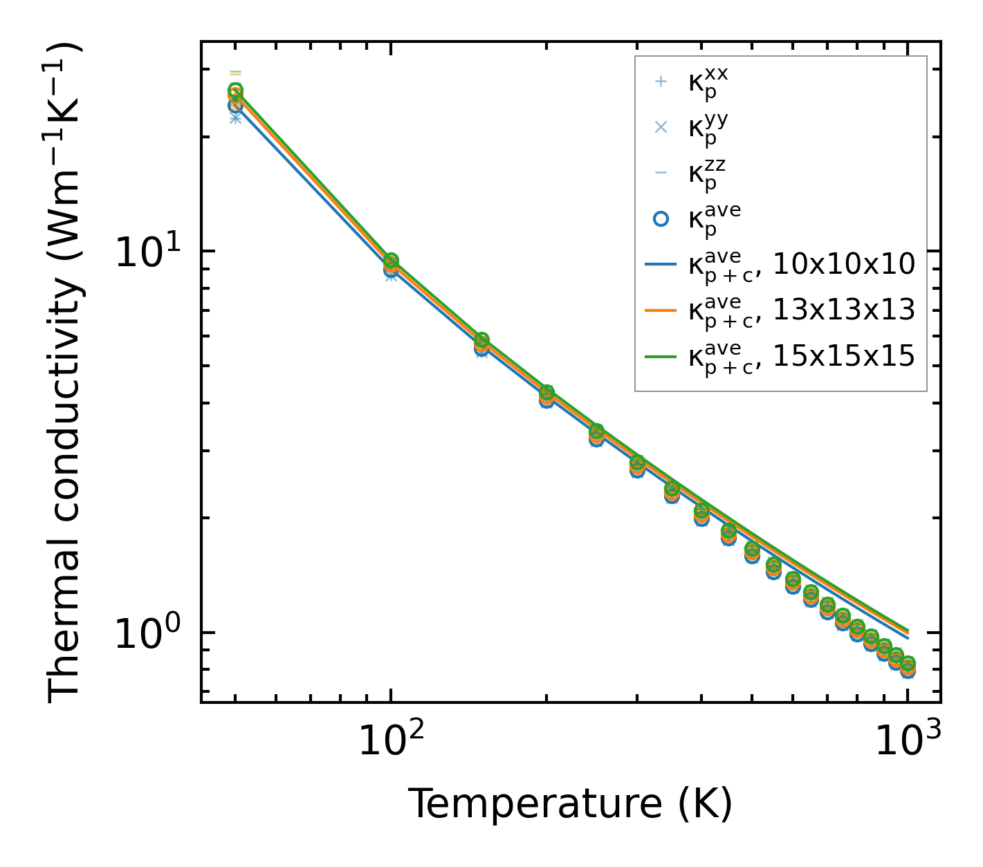
Summary

../../_images/fig_kappa12349.png

(a) Temperature-dependent lattice thermal conductivity

../../_images/fig_times25215.png

(b) Computation time