mp-1218367/Sr3CaS4/anharm

Harmonic properties

../../_images/fig_bandos_pr15248.png

(a) Phonon dispersion with participation ratio and DOS

../../_images/fig_thermo15247.png

(b) Thermodynamic properties

Grüneisen parameters

../../_images/fig_gru_all6568.png

(a) Grüneisen parameters

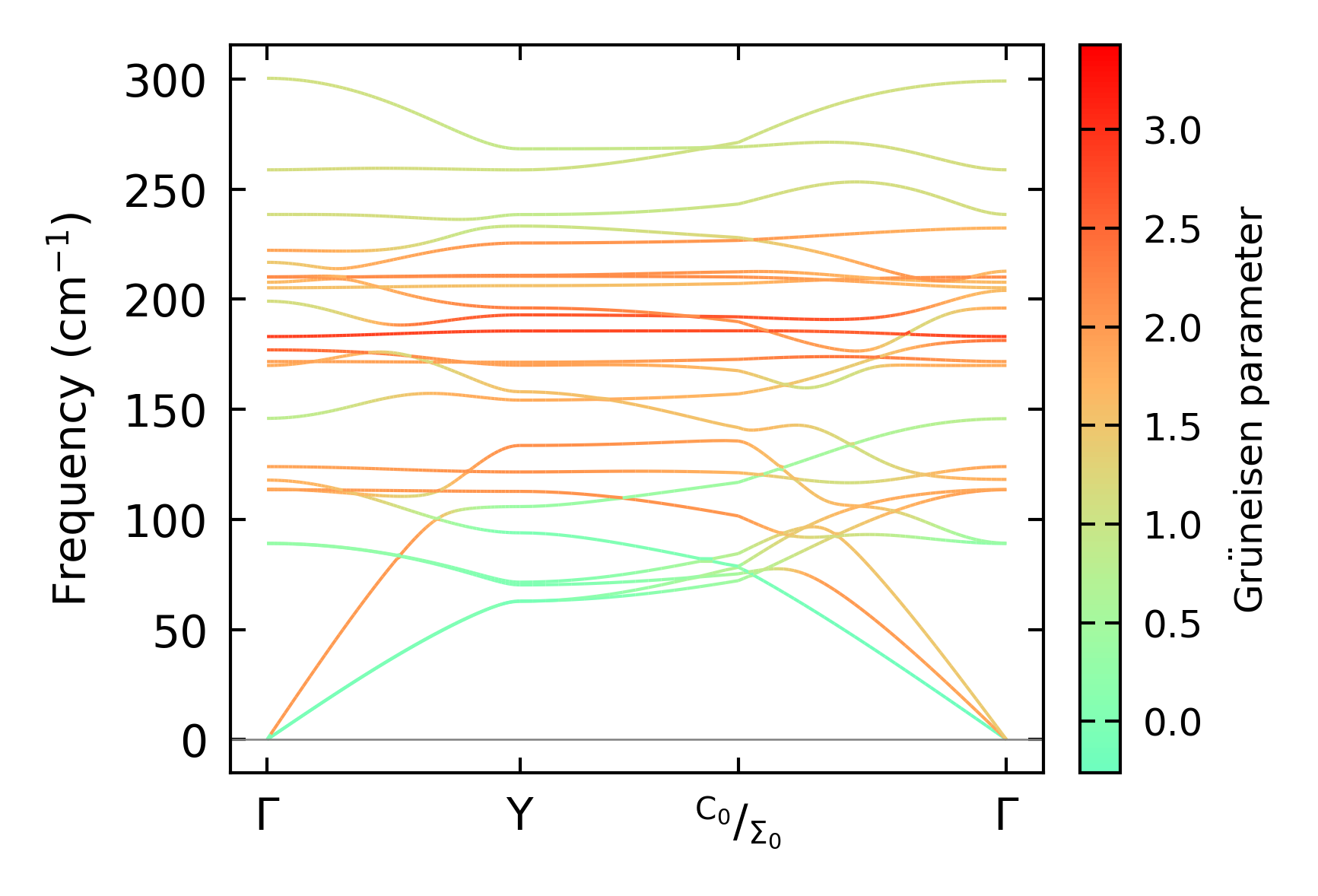
../../_images/fig_gruneisen6568.png

(b) Phonon dispersion with Grüneisen parameters

Thermal conductivity

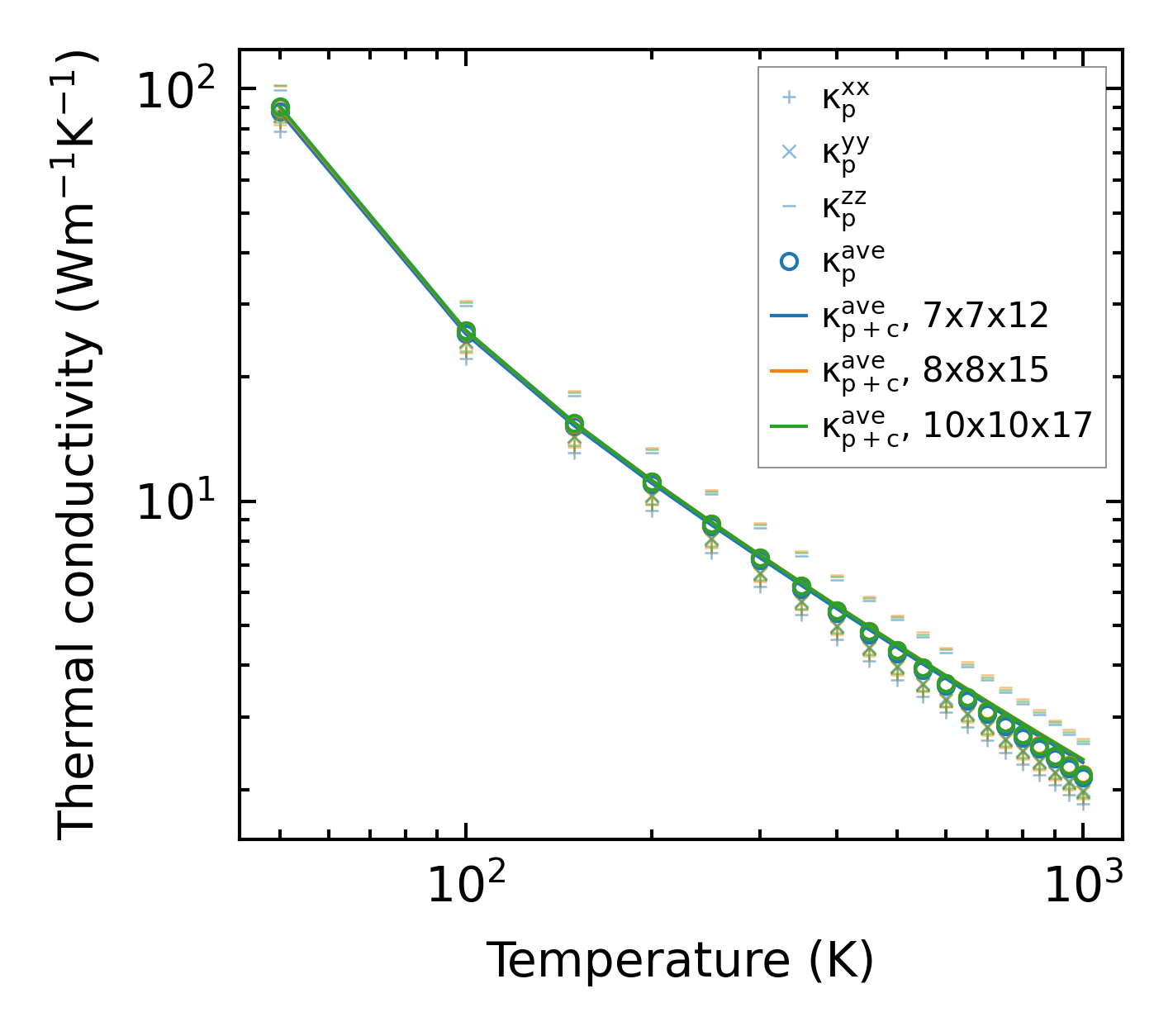
3-phonon (LASSO) — q-mesh: 10x10x17, supercell: 2x1x3

../../_images/fig_kappa12362.png

(a) Temperature-dependent lattice thermal conductivity

../../_images/fig_kappa_vs_grain_size6645.png

(b) Peierls lattice thermal conductivity w.r.t grain size

Phonon lifetime and scattering rates

../../_images/fig_lifetime6502.png

(a) Phonon lifetime due to phonon-phonon scattering

../../_images/fig_scat_rates6501.png

(b) Phonon scattering rates

Cumulative and spectral thermal conductivity

../../_images/fig_cumu_frequency6502.png

(a) Spectral and cumulative thermal conductivity w.r.t frequency

../../_images/fig_cumu_mfp6501.png

(b) Spectral and cumulative thermal conductivity w.r.t MFP

Force constants

../../_images/fig_fc214860.png

(a) Force constants w.r.t atomic distance

Summary

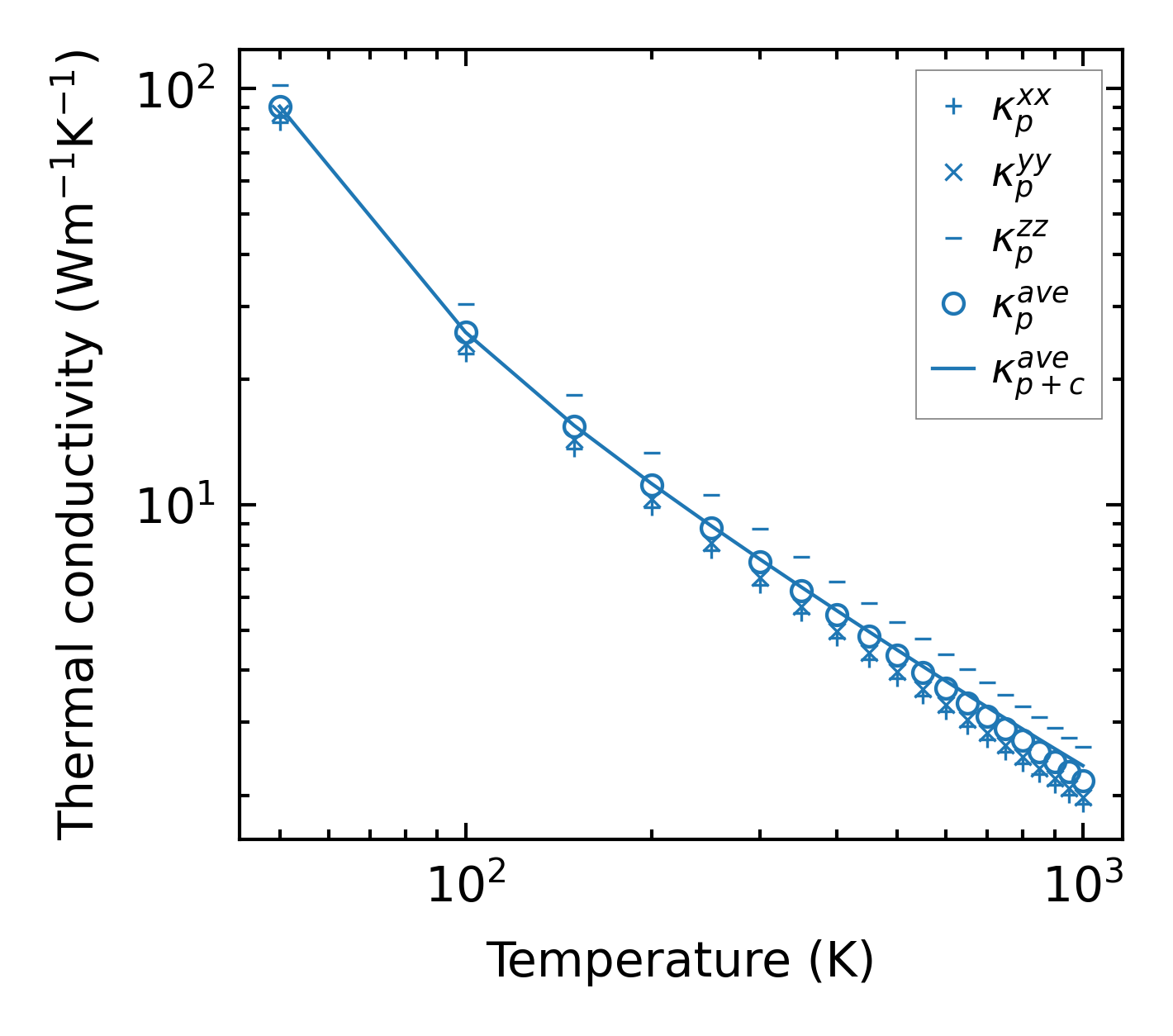
../../_images/fig_kappa12363.png

(a) Temperature-dependent lattice thermal conductivity

../../_images/fig_times25226.png

(b) Computation time