mp-1218371/Sr4SeS3/anharm

Harmonic properties

../../_images/fig_bandos_pr15250.png

(a) Phonon dispersion with participation ratio and DOS

../../_images/fig_thermo15249.png

(b) Thermodynamic properties

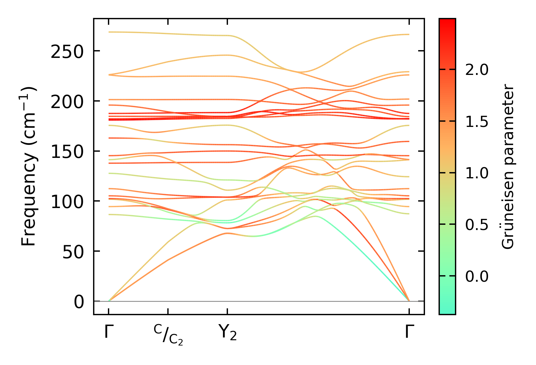
Grüneisen parameters

../../_images/fig_gru_all6569.png

(a) Grüneisen parameters

../../_images/fig_gruneisen6569.png

(b) Phonon dispersion with Grüneisen parameters

Thermal conductivity

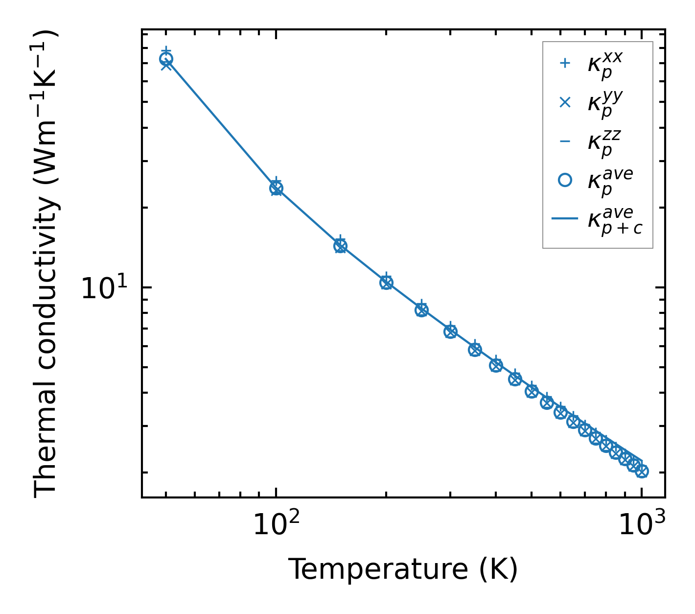
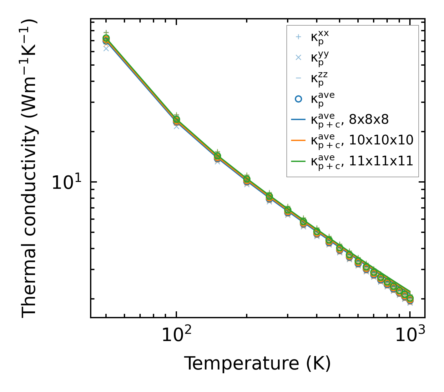
3-phonon (LASSO) — q-mesh: 11x11x11, supercell: 1x4x2

../../_images/fig_kappa12364.png

(a) Temperature-dependent lattice thermal conductivity

../../_images/fig_kappa_vs_grain_size6646.png

(b) Peierls lattice thermal conductivity w.r.t grain size

Phonon lifetime and scattering rates

../../_images/fig_lifetime6503.png

(a) Phonon lifetime due to phonon-phonon scattering

../../_images/fig_scat_rates6502.png

(b) Phonon scattering rates

Cumulative and spectral thermal conductivity

../../_images/fig_cumu_frequency6503.png

(a) Spectral and cumulative thermal conductivity w.r.t frequency

../../_images/fig_cumu_mfp6502.png

(b) Spectral and cumulative thermal conductivity w.r.t MFP

Force constants

../../_images/fig_fc214862.png

(a) Force constants w.r.t atomic distance

Summary

../../_images/fig_kappa12365.png

(a) Temperature-dependent lattice thermal conductivity

../../_images/fig_times25228.png

(b) Computation time