mp-1218389/Sr4Se3S/anharm

Harmonic properties

../../_images/fig_bandos_pr15255.png

(a) Phonon dispersion with participation ratio and DOS

../../_images/fig_thermo15254.png

(b) Thermodynamic properties

Grüneisen parameters

../../_images/fig_gru_all6574.png

(a) Grüneisen parameters

../../_images/fig_gruneisen6574.png

(b) Phonon dispersion with Grüneisen parameters

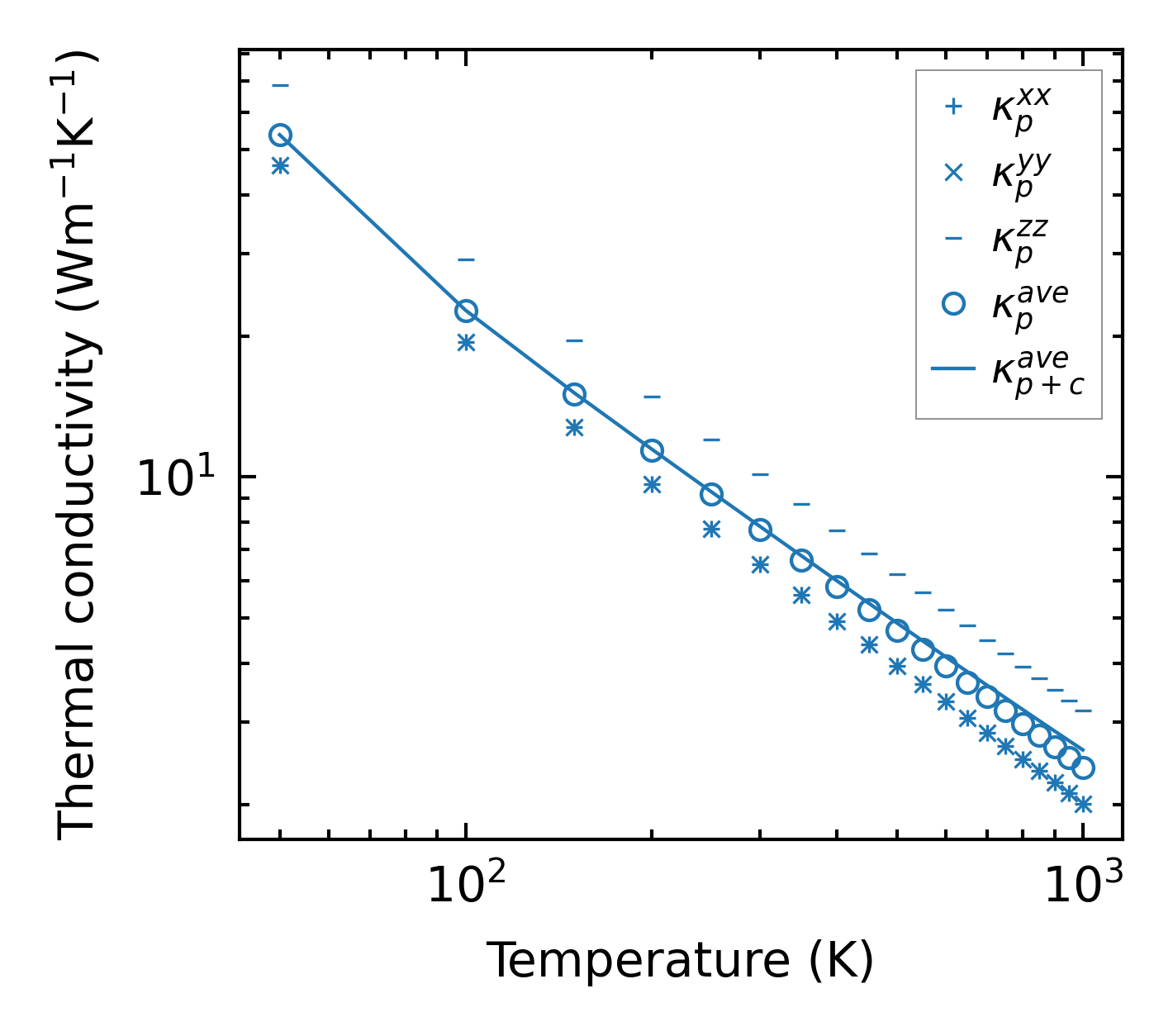
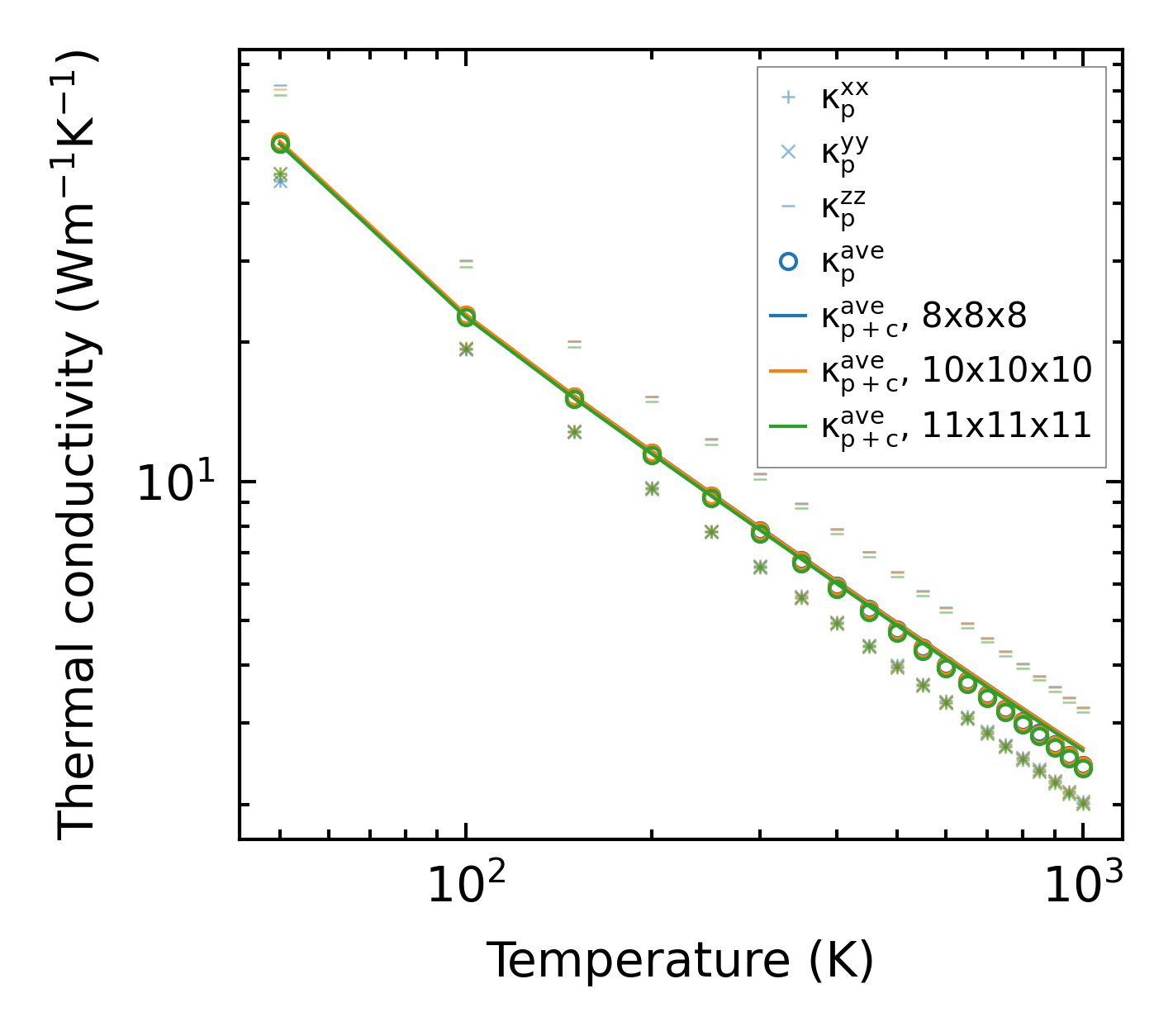
Thermal conductivity

3-phonon (LASSO) — q-mesh: 11x11x11, supercell: 2x2x1

../../_images/fig_kappa12374.png

(a) Temperature-dependent lattice thermal conductivity

../../_images/fig_kappa_vs_grain_size6651.png

(b) Peierls lattice thermal conductivity w.r.t grain size

Phonon lifetime and scattering rates

../../_images/fig_lifetime6508.png

(a) Phonon lifetime due to phonon-phonon scattering

../../_images/fig_scat_rates6507.png

(b) Phonon scattering rates

Cumulative and spectral thermal conductivity

../../_images/fig_cumu_frequency6508.png

(a) Spectral and cumulative thermal conductivity w.r.t frequency

../../_images/fig_cumu_mfp6507.png

(b) Spectral and cumulative thermal conductivity w.r.t MFP

Force constants

../../_images/fig_fc214867.png

(a) Force constants w.r.t atomic distance

Summary

../../_images/fig_kappa12375.png

(a) Temperature-dependent lattice thermal conductivity

../../_images/fig_times25234.png

(b) Computation time