mp-1218031/SrPb3S4/anharm

Harmonic properties

../../_images/fig_bandos_pr15239.png

(a) Phonon dispersion with participation ratio and DOS

../../_images/fig_thermo15238.png

(b) Thermodynamic properties

Grüneisen parameters

../../_images/fig_gru_all6562.png

(a) Grüneisen parameters

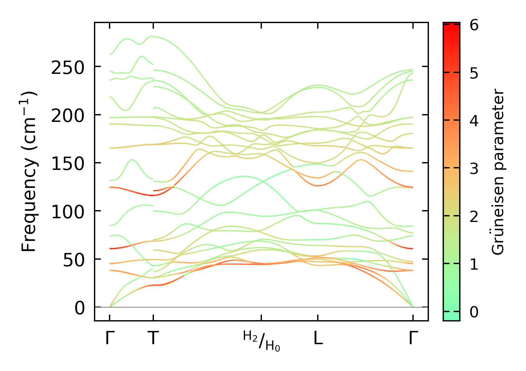
../../_images/fig_gruneisen6562.png

(b) Phonon dispersion with Grüneisen parameters

Thermal conductivity

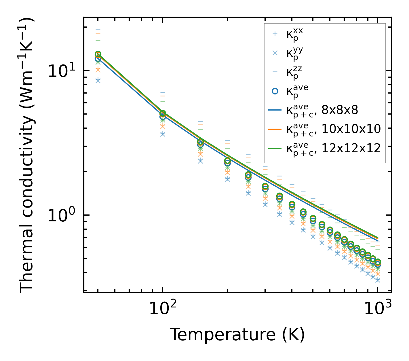
3-phonon (LASSO) — q-mesh: 12x12x12, supercell: 2x2x1

../../_images/fig_kappa12350.png

(a) Temperature-dependent lattice thermal conductivity

../../_images/fig_kappa_vs_grain_size6639.png

(b) Peierls lattice thermal conductivity w.r.t grain size

Phonon lifetime and scattering rates

../../_images/fig_lifetime6496.png

(a) Phonon lifetime due to phonon-phonon scattering

../../_images/fig_scat_rates6495.png

(b) Phonon scattering rates

Cumulative and spectral thermal conductivity

../../_images/fig_cumu_frequency6496.png

(a) Spectral and cumulative thermal conductivity w.r.t frequency

../../_images/fig_cumu_mfp6495.png

(b) Spectral and cumulative thermal conductivity w.r.t MFP

Force constants

../../_images/fig_fc214851.png

(a) Force constants w.r.t atomic distance

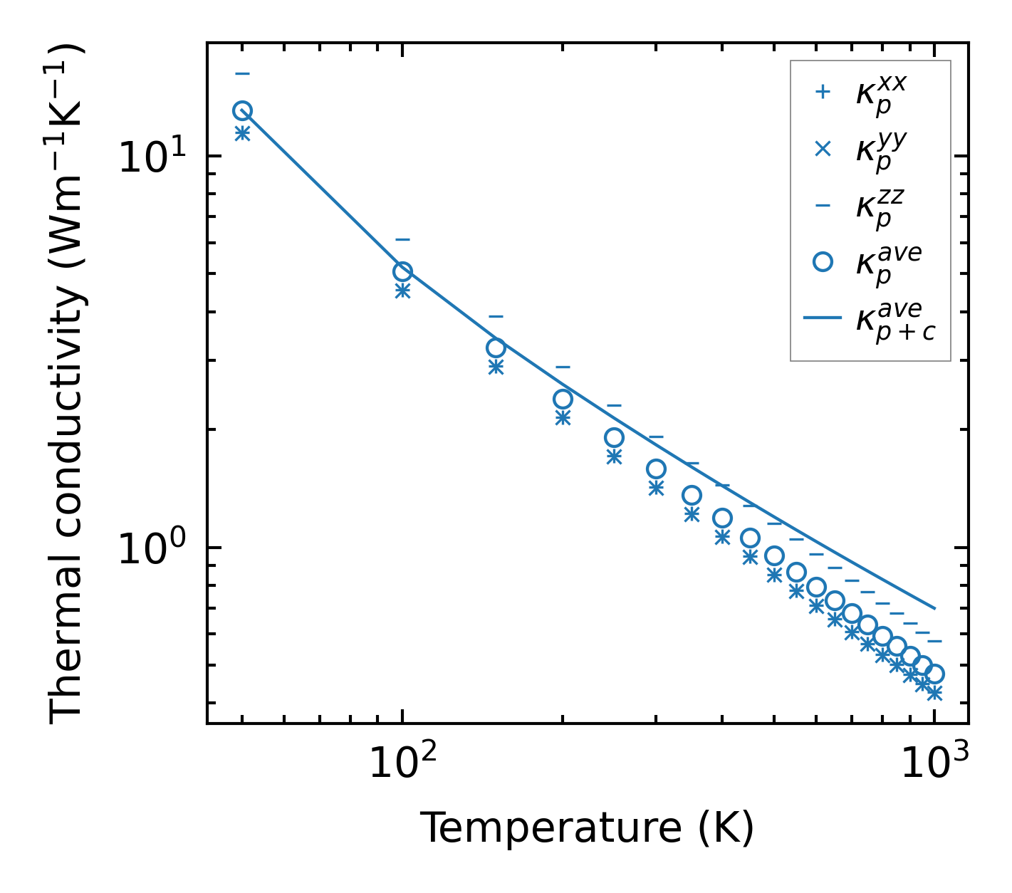
Summary

../../_images/fig_kappa12351.png

(a) Temperature-dependent lattice thermal conductivity

../../_images/fig_times25216.png

(b) Computation time