mp-1101972/CdF2/anharm

Harmonic properties

../../_images/fig_bandos_pr16519.png

(a) Phonon dispersion with participation ratio and DOS

../../_images/fig_thermo16518.png

(b) Thermodynamic properties

Grüneisen parameters

../../_images/fig_gru_all7159.png

(a) Grüneisen parameters

../../_images/fig_gruneisen7159.png

(b) Phonon dispersion with Grüneisen parameters

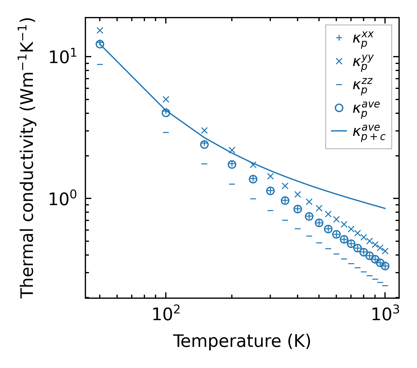
Thermal conductivity

3-phonon (LASSO) — q-mesh: 12x20x10, supercell: 2x3x2

../../_images/fig_kappa13499.png

(a) Temperature-dependent lattice thermal conductivity

../../_images/fig_kappa_vs_grain_size7245.png

(b) Peierls lattice thermal conductivity w.r.t grain size

Phonon lifetime and scattering rates

../../_images/fig_lifetime7093.png

(a) Phonon lifetime due to phonon-phonon scattering

../../_images/fig_scat_rates7092.png

(b) Phonon scattering rates

Cumulative and spectral thermal conductivity

../../_images/fig_cumu_frequency7093.png

(a) Spectral and cumulative thermal conductivity w.r.t frequency

../../_images/fig_cumu_mfp7092.png

(b) Spectral and cumulative thermal conductivity w.r.t MFP

Force constants

../../_images/fig_fc216094.png

(a) Force constants w.r.t atomic distance

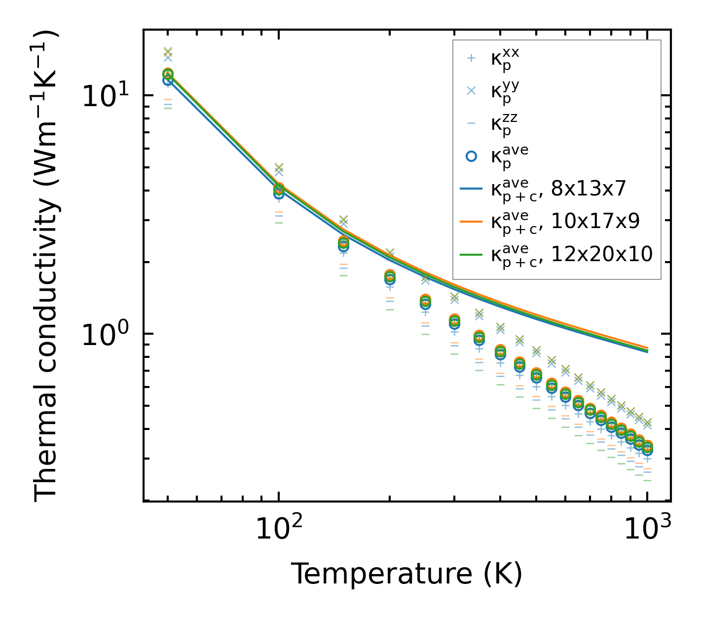
Summary

../../_images/fig_kappa13500.png

(a) Temperature-dependent lattice thermal conductivity

../../_images/fig_times27046.png

(b) Computation time