mp-1101151/NaHoO2/anharm

Harmonic properties

../../_images/fig_bandos_pr16495.png

(a) Phonon dispersion with participation ratio and DOS

../../_images/fig_thermo16494.png

(b) Thermodynamic properties

Grüneisen parameters

../../_images/fig_gru_all7139.png

(a) Grüneisen parameters

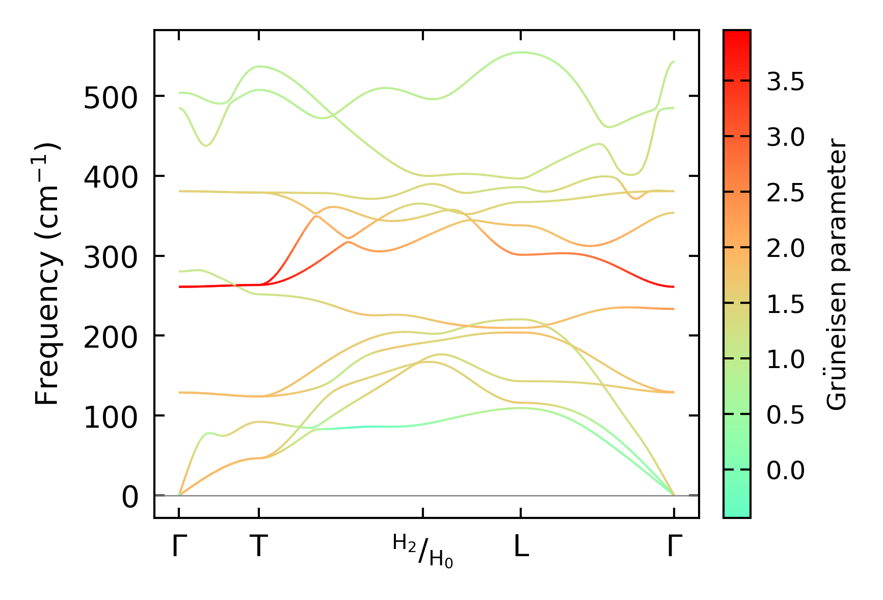
../../_images/fig_gruneisen7139.png

(b) Phonon dispersion with Grüneisen parameters

Thermal conductivity

3-phonon (LASSO) — q-mesh: 19x19x19, supercell: 3x3x1

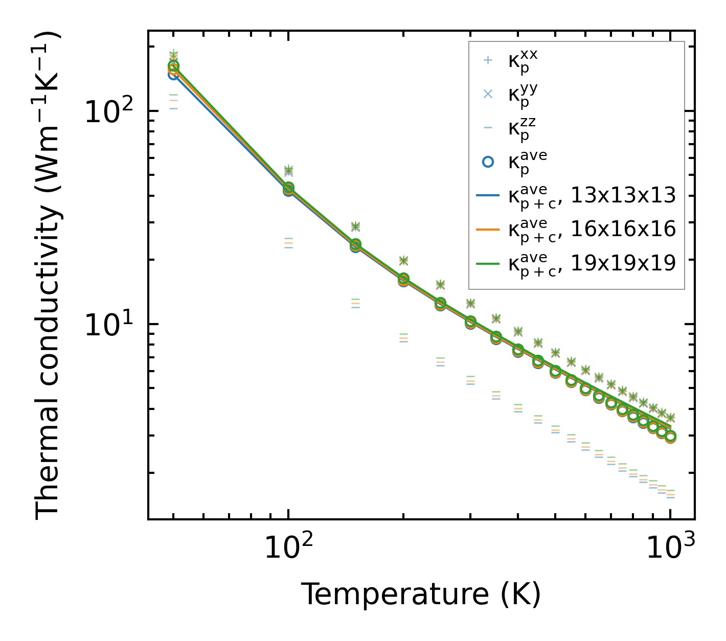
../../_images/fig_kappa13460.png

(a) Temperature-dependent lattice thermal conductivity

../../_images/fig_kappa_vs_grain_size7225.png

(b) Peierls lattice thermal conductivity w.r.t grain size

Phonon lifetime and scattering rates

../../_images/fig_lifetime7073.png

(a) Phonon lifetime due to phonon-phonon scattering

../../_images/fig_scat_rates7072.png

(b) Phonon scattering rates

Cumulative and spectral thermal conductivity

../../_images/fig_cumu_frequency7073.png

(a) Spectral and cumulative thermal conductivity w.r.t frequency

../../_images/fig_cumu_mfp7072.png

(b) Spectral and cumulative thermal conductivity w.r.t MFP

Force constants

../../_images/fig_fc216070.png

(a) Force constants w.r.t atomic distance

Summary

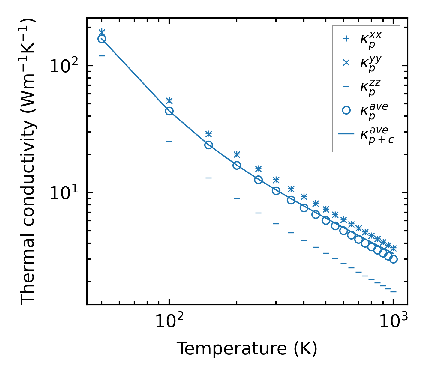
../../_images/fig_kappa13461.png

(a) Temperature-dependent lattice thermal conductivity

../../_images/fig_times27002.png

(b) Computation time