mp-1101295/Ti2O3/anharm

Harmonic properties

../../_images/fig_bandos_pr16498.png

(a) Phonon dispersion with participation ratio and DOS

../../_images/fig_thermo16497.png

(b) Thermodynamic properties

Grüneisen parameters

../../_images/fig_gru_all7141.png

(a) Grüneisen parameters

../../_images/fig_gruneisen7141.png

(b) Phonon dispersion with Grüneisen parameters

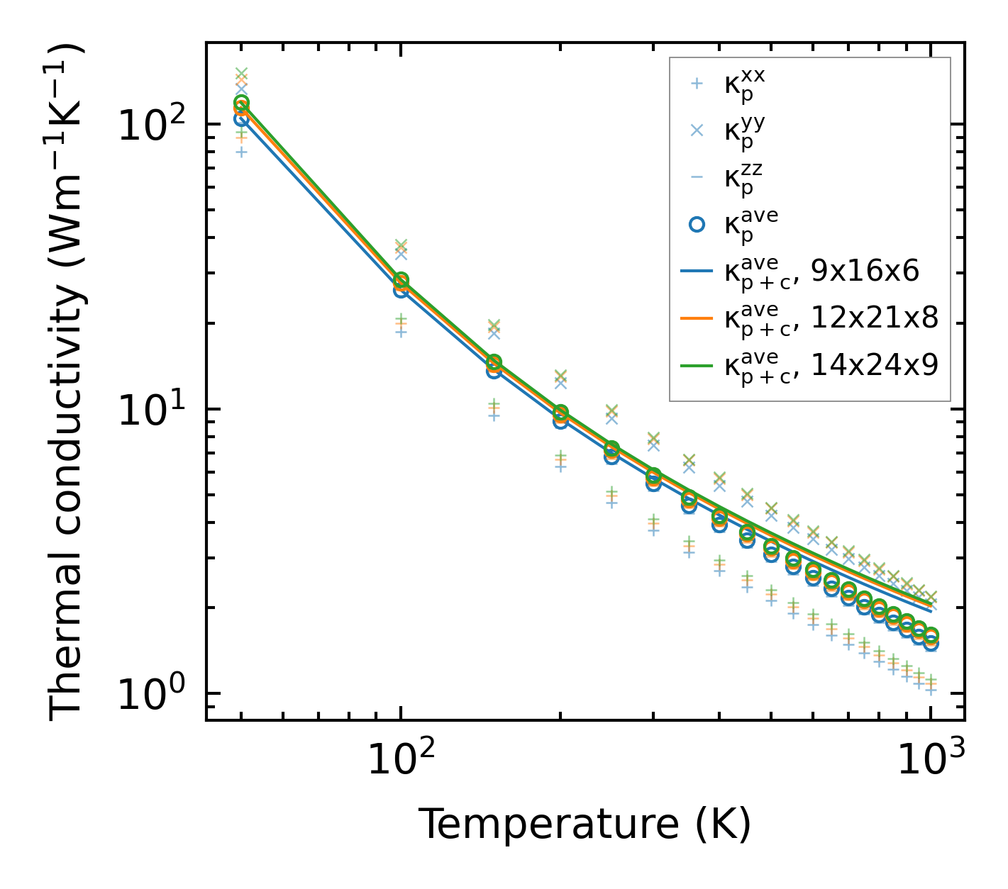
Thermal conductivity

3-phonon (LASSO) — q-mesh: 14x24x9, supercell: 2x3x2

../../_images/fig_kappa13464.png

(a) Temperature-dependent lattice thermal conductivity

../../_images/fig_kappa_vs_grain_size7227.png

(b) Peierls lattice thermal conductivity w.r.t grain size

Phonon lifetime and scattering rates

../../_images/fig_lifetime7075.png

(a) Phonon lifetime due to phonon-phonon scattering

../../_images/fig_scat_rates7074.png

(b) Phonon scattering rates

Cumulative and spectral thermal conductivity

../../_images/fig_cumu_frequency7075.png

(a) Spectral and cumulative thermal conductivity w.r.t frequency

../../_images/fig_cumu_mfp7074.png

(b) Spectral and cumulative thermal conductivity w.r.t MFP

Force constants

../../_images/fig_fc216073.png

(a) Force constants w.r.t atomic distance

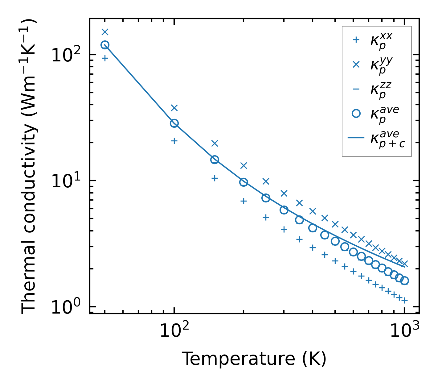
Summary

../../_images/fig_kappa13465.png

(a) Temperature-dependent lattice thermal conductivity

../../_images/fig_times27009.png

(b) Computation time