mp-1101894/FeAsSe/anharm

Harmonic properties

../../_images/fig_bandos_pr16516.png

(a) Phonon dispersion with participation ratio and DOS

../../_images/fig_thermo16515.png

(b) Thermodynamic properties

Grüneisen parameters

../../_images/fig_gru_all7156.png

(a) Grüneisen parameters

../../_images/fig_gruneisen7156.png

(b) Phonon dispersion with Grüneisen parameters

Thermal conductivity

3-phonon (LASSO) — q-mesh: 12x12x12, supercell: 2x3x2

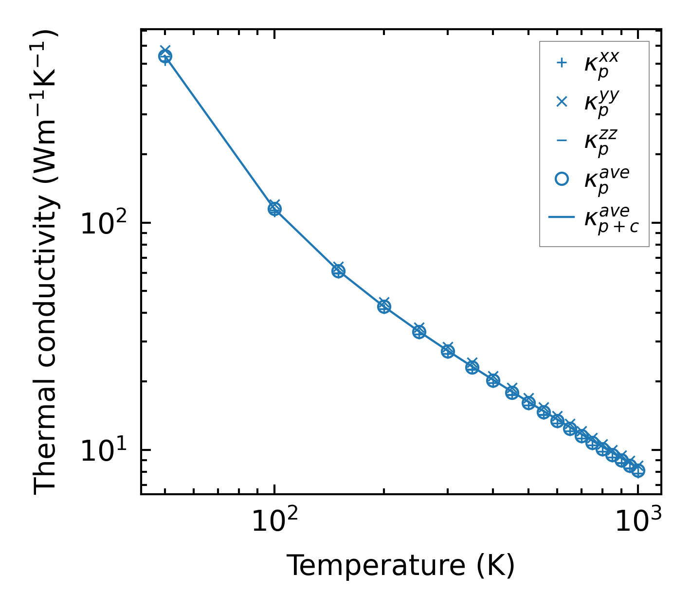
../../_images/fig_kappa13494.png

(a) Temperature-dependent lattice thermal conductivity

../../_images/fig_kappa_vs_grain_size7242.png

(b) Peierls lattice thermal conductivity w.r.t grain size

Phonon lifetime and scattering rates

../../_images/fig_lifetime7090.png

(a) Phonon lifetime due to phonon-phonon scattering

../../_images/fig_scat_rates7089.png

(b) Phonon scattering rates

Cumulative and spectral thermal conductivity

../../_images/fig_cumu_frequency7090.png

(a) Spectral and cumulative thermal conductivity w.r.t frequency

../../_images/fig_cumu_mfp7089.png

(b) Spectral and cumulative thermal conductivity w.r.t MFP

Force constants

../../_images/fig_fc216091.png

(a) Force constants w.r.t atomic distance

Summary

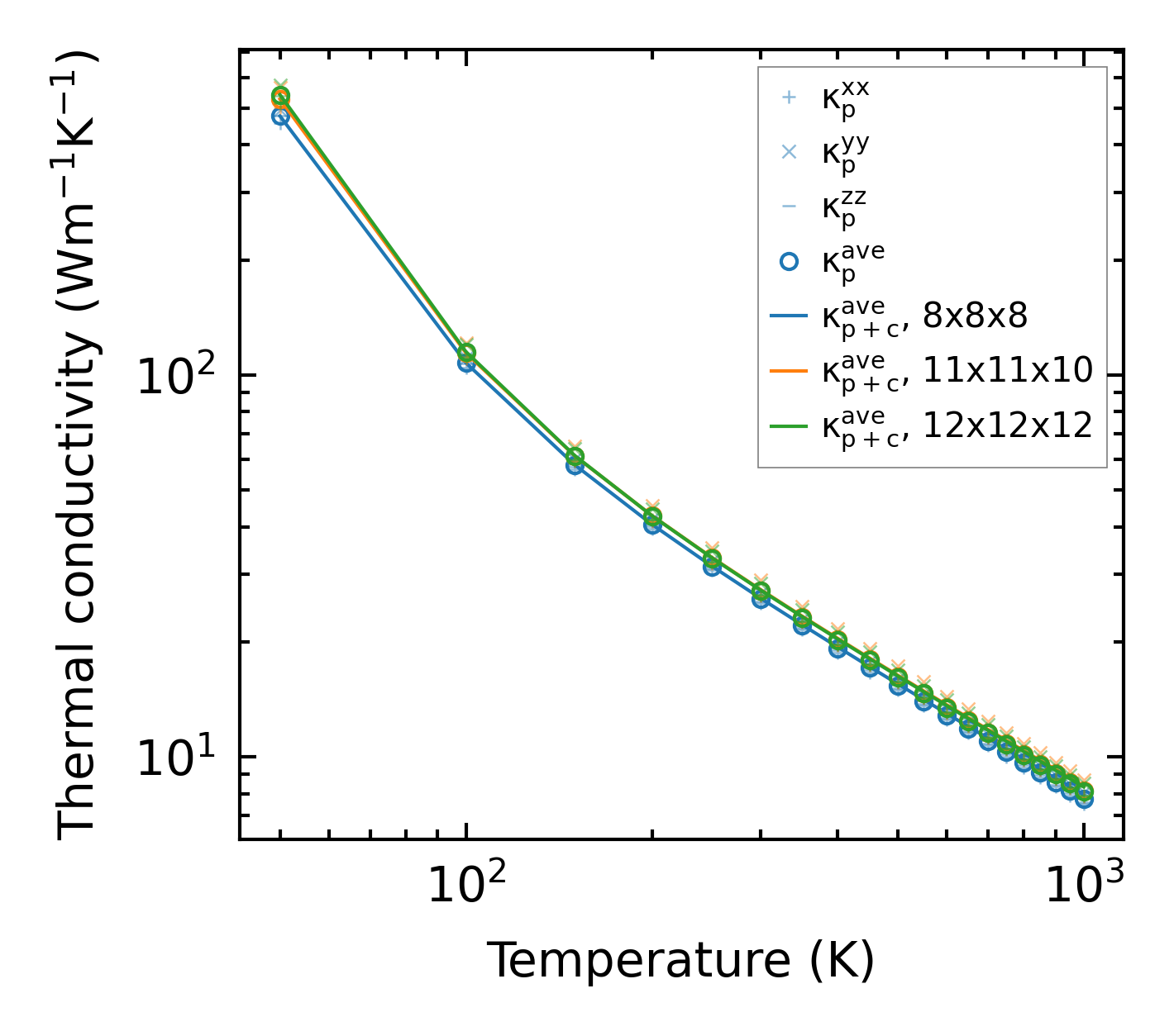
../../_images/fig_kappa13495.png

(a) Temperature-dependent lattice thermal conductivity

../../_images/fig_times27041.png

(b) Computation time