mp-1101892-2/CeAs2/anharm

Equation of state

../../_images/fig_bm7732.png

(a) Equation of state

Harmonic properties

../../_images/fig_bandos_pr16515.png

(a) Phonon dispersion with participation ratio and DOS

../../_images/fig_thermo16514.png

(b) Thermodynamic properties

Grüneisen parameters

../../_images/fig_gru_all7155.png

(a) Grüneisen parameters

../../_images/fig_gruneisen7155.png

(b) Phonon dispersion with Grüneisen parameters

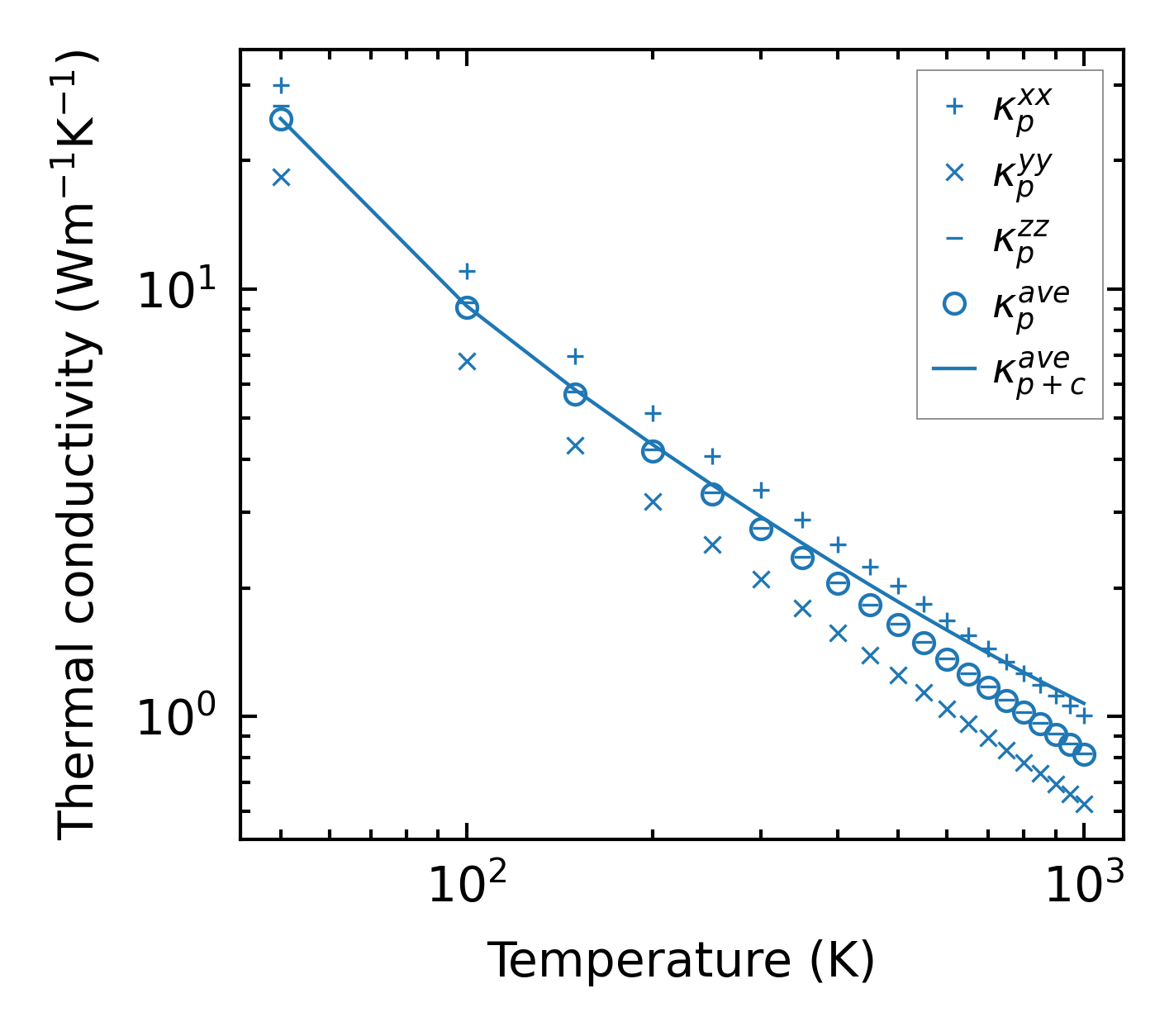
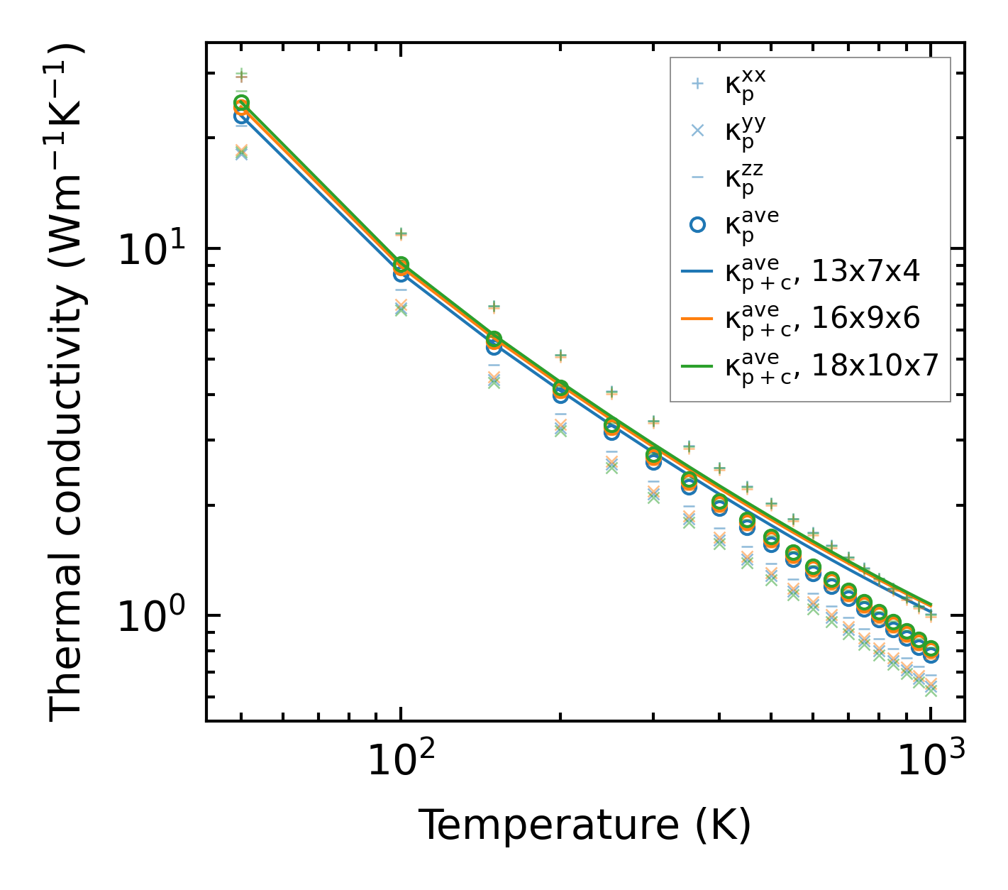
Thermal conductivity

3-phonon (LASSO) — q-mesh: 18x10x7, supercell: 3x2x2

../../_images/fig_kappa13492.png

(a) Temperature-dependent lattice thermal conductivity

../../_images/fig_kappa_vs_grain_size7241.png

(b) Peierls lattice thermal conductivity w.r.t grain size

Phonon lifetime and scattering rates

../../_images/fig_lifetime7089.png

(a) Phonon lifetime due to phonon-phonon scattering

../../_images/fig_scat_rates7088.png

(b) Phonon scattering rates

Cumulative and spectral thermal conductivity

../../_images/fig_cumu_frequency7089.png

(a) Spectral and cumulative thermal conductivity w.r.t frequency

../../_images/fig_cumu_mfp7088.png

(b) Spectral and cumulative thermal conductivity w.r.t MFP

Force constants

../../_images/fig_fc216090.png

(a) Force constants w.r.t atomic distance

Summary

../../_images/fig_kappa13493.png

(a) Temperature-dependent lattice thermal conductivity

../../_images/fig_times27040.png

(b) Computation time