mp-1101873/ErS2/anharm

Harmonic properties

../../_images/fig_bandos_pr16512.png

(a) Phonon dispersion with participation ratio and DOS

../../_images/fig_thermo16511.png

(b) Thermodynamic properties

Grüneisen parameters

../../_images/fig_gru_all7152.png

(a) Grüneisen parameters

../../_images/fig_gruneisen7152.png

(b) Phonon dispersion with Grüneisen parameters

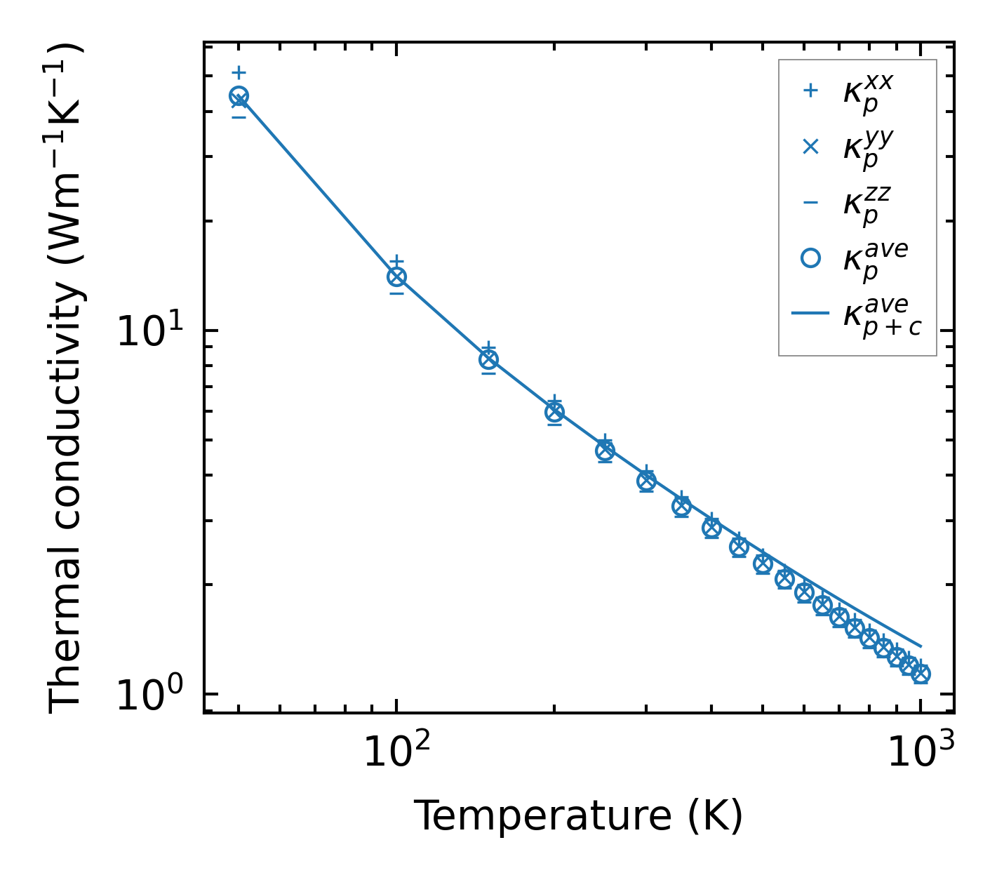
Thermal conductivity

3-phonon (LASSO) — q-mesh: 9x18x9, supercell: 2x3x2

../../_images/fig_kappa13486.png

(a) Temperature-dependent lattice thermal conductivity

../../_images/fig_kappa_vs_grain_size7238.png

(b) Peierls lattice thermal conductivity w.r.t grain size

Phonon lifetime and scattering rates

../../_images/fig_lifetime7086.png

(a) Phonon lifetime due to phonon-phonon scattering

../../_images/fig_scat_rates7085.png

(b) Phonon scattering rates

Cumulative and spectral thermal conductivity

../../_images/fig_cumu_frequency7086.png

(a) Spectral and cumulative thermal conductivity w.r.t frequency

../../_images/fig_cumu_mfp7085.png

(b) Spectral and cumulative thermal conductivity w.r.t MFP

Force constants

../../_images/fig_fc216087.png

(a) Force constants w.r.t atomic distance

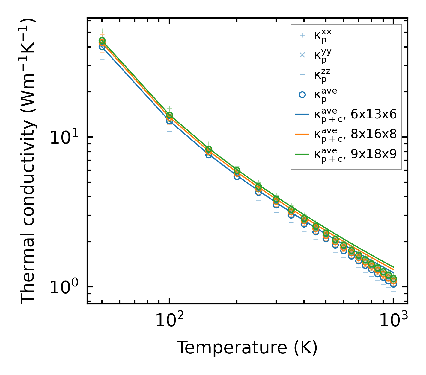
Summary

../../_images/fig_kappa13487.png

(a) Temperature-dependent lattice thermal conductivity

../../_images/fig_times27036.png

(b) Computation time