mp-1101329/Tb2SeO2/anharm

Harmonic properties

../../_images/fig_bandos_pr16501.png

(a) Phonon dispersion with participation ratio and DOS

../../_images/fig_thermo16500.png

(b) Thermodynamic properties

Grüneisen parameters

../../_images/fig_gru_all7142.png

(a) Grüneisen parameters

../../_images/fig_gruneisen7142.png

(b) Phonon dispersion with Grüneisen parameters

Thermal conductivity

3-phonon (LASSO) — q-mesh: 16x16x16, supercell: 3x3x1

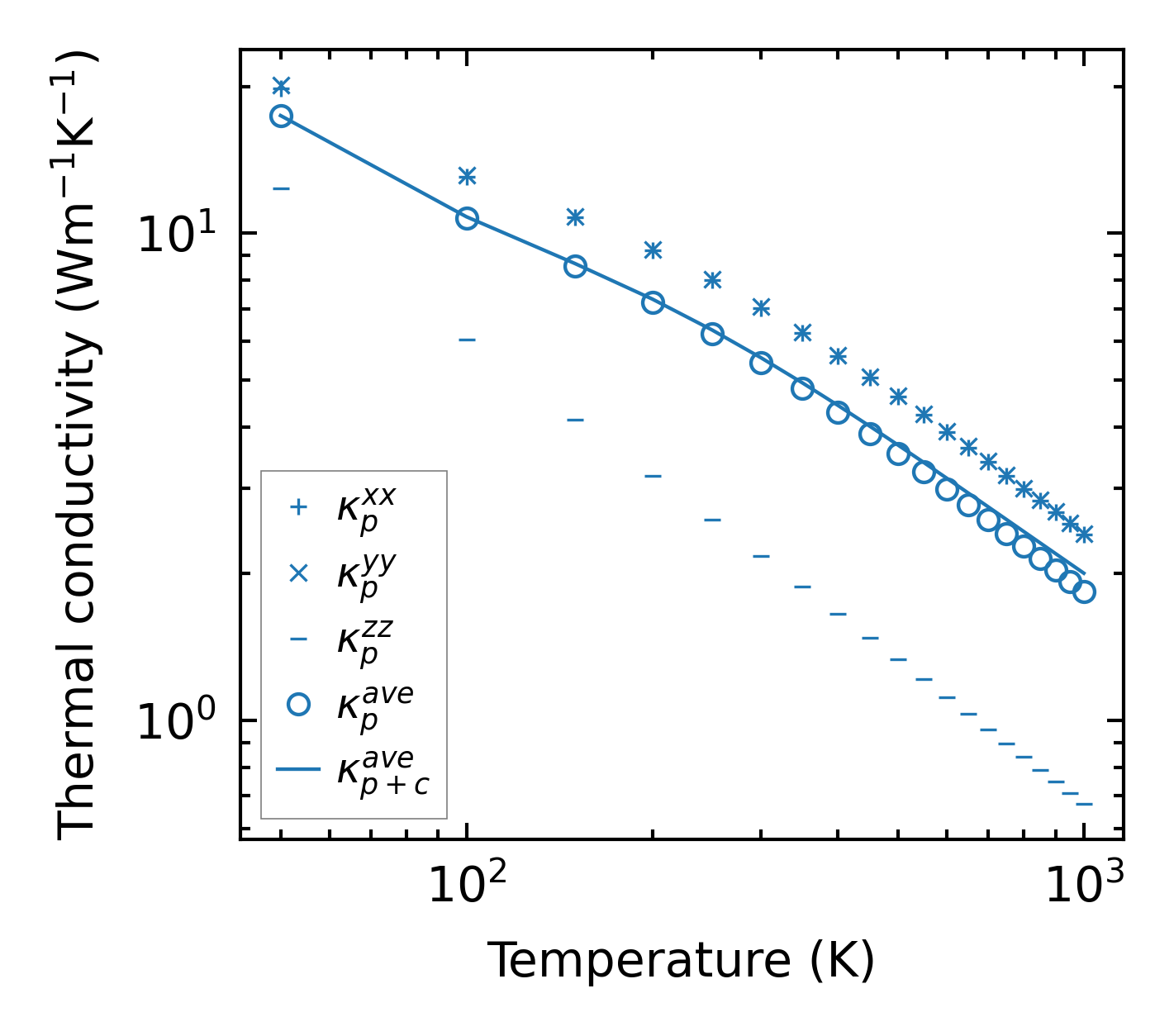
../../_images/fig_kappa13466.png

(a) Temperature-dependent lattice thermal conductivity

../../_images/fig_kappa_vs_grain_size7228.png

(b) Peierls lattice thermal conductivity w.r.t grain size

Phonon lifetime and scattering rates

../../_images/fig_lifetime7076.png

(a) Phonon lifetime due to phonon-phonon scattering

../../_images/fig_scat_rates7075.png

(b) Phonon scattering rates

Cumulative and spectral thermal conductivity

../../_images/fig_cumu_frequency7076.png

(a) Spectral and cumulative thermal conductivity w.r.t frequency

../../_images/fig_cumu_mfp7075.png

(b) Spectral and cumulative thermal conductivity w.r.t MFP

Force constants

../../_images/fig_fc216076.png

(a) Force constants w.r.t atomic distance

Summary

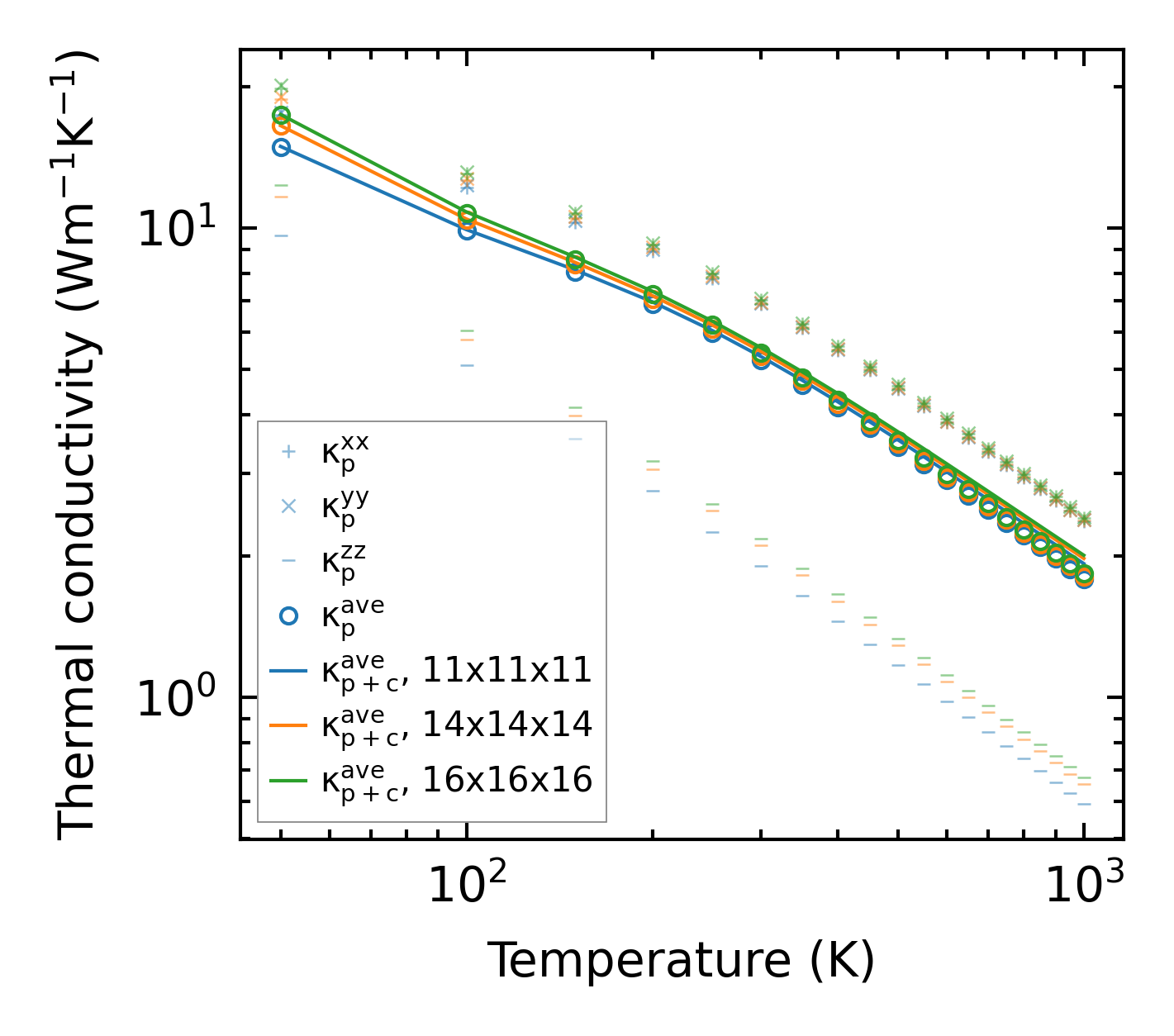
../../_images/fig_kappa13467.png

(a) Temperature-dependent lattice thermal conductivity

../../_images/fig_times27013.png

(b) Computation time