mp-1101917-2/SnBi4Te7/anharm

Equation of state

../../_images/fig_bm7733.png

(a) Equation of state

Harmonic properties

../../_images/fig_bandos_pr16517.png

(a) Phonon dispersion with participation ratio and DOS

../../_images/fig_bandos20912.png

(b) Phonon dispersion and DOS

../../_images/fig_thermo16516.png

(c) Thermodynamic properties

Grüneisen parameters

../../_images/fig_gru_all7157.png

(a) Grüneisen parameters

../../_images/fig_gruneisen7157.png

(b) Phonon dispersion with Grüneisen parameters

Thermal conductivity

3-phonon (LASSO), supercell 4x4x1 — q-mesh: 17x17x3, supercell: 4x4x1

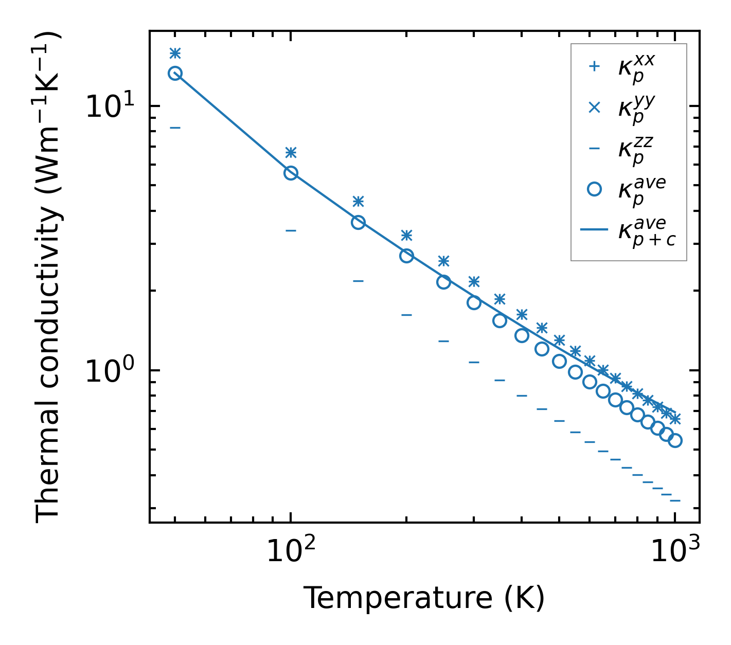
../../_images/fig_kappa13496.png

(a) Temperature-dependent lattice thermal conductivity

../../_images/fig_kappa_vs_grain_size7243.png

(b) Peierls lattice thermal conductivity w.r.t grain size

Phonon lifetime and scattering rates

../../_images/fig_lifetime7091.png

(a) Phonon lifetime due to phonon-phonon scattering

../../_images/fig_scat_rates7090.png

(b) Phonon scattering rates

Cumulative and spectral thermal conductivity

../../_images/fig_cumu_frequency7091.png

(a) Spectral and cumulative thermal conductivity w.r.t frequency

../../_images/fig_cumu_mfp7090.png

(b) Spectral and cumulative thermal conductivity w.r.t MFP

Force constants

../../_images/fig_fc216092.png

(a) Force constants w.r.t atomic distance

Summary

../../_images/fig_times27043.png

(a) Computation time