mp-1101841/POsSe/anharm

Harmonic properties

../../_images/fig_bandos_pr16510.png

(a) Phonon dispersion with participation ratio and DOS

../../_images/fig_thermo16509.png

(b) Thermodynamic properties

Grüneisen parameters

../../_images/fig_gru_all7150.png

(a) Grüneisen parameters

../../_images/fig_gruneisen7150.png

(b) Phonon dispersion with Grüneisen parameters

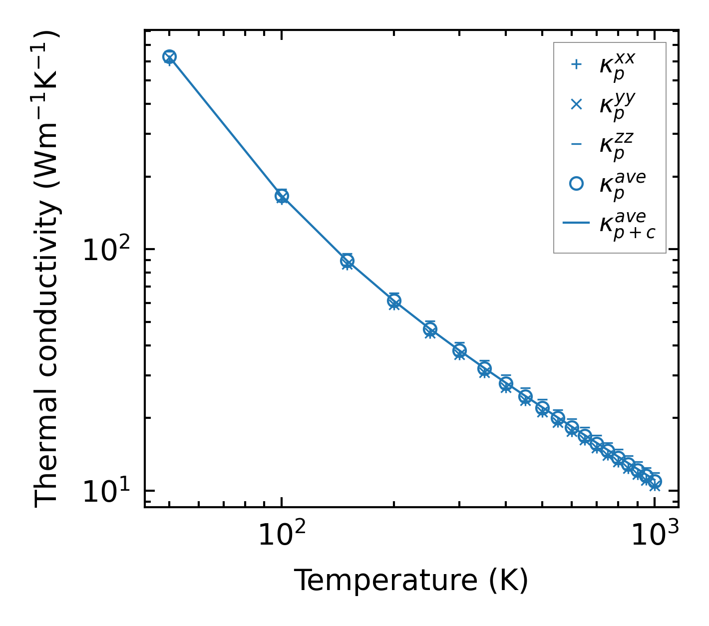
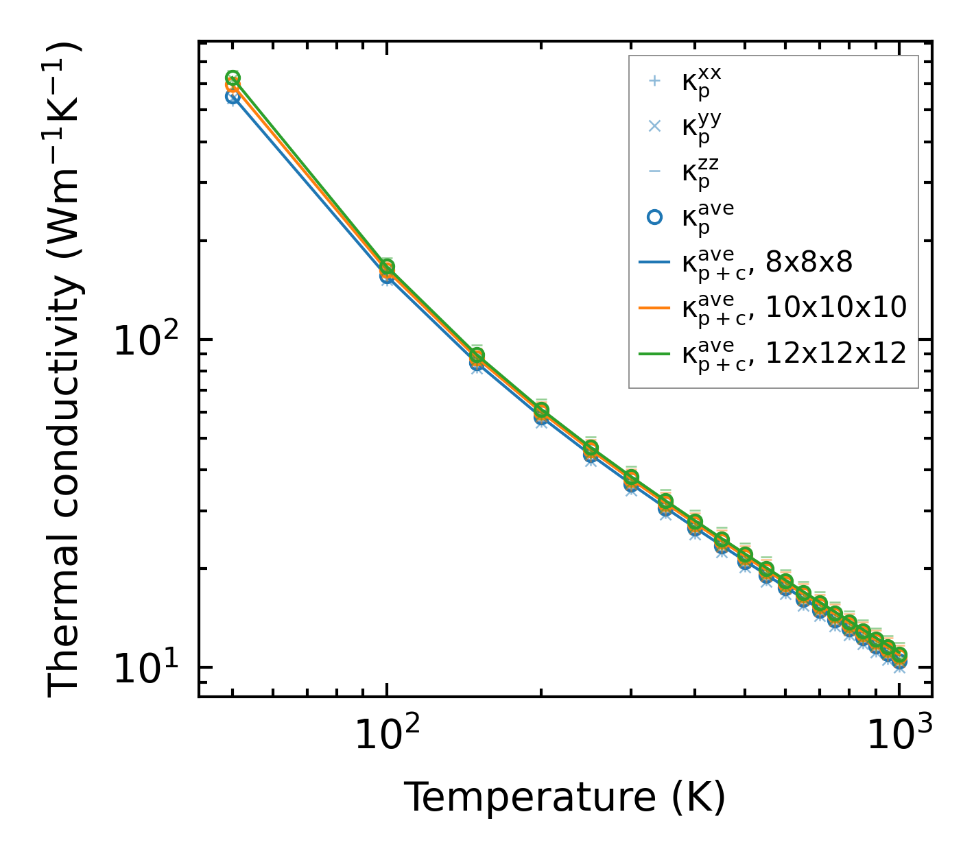
Thermal conductivity

3-phonon (LASSO) — q-mesh: 12x12x12, supercell: 2x3x2

../../_images/fig_kappa13482.png

(a) Temperature-dependent lattice thermal conductivity

../../_images/fig_kappa_vs_grain_size7236.png

(b) Peierls lattice thermal conductivity w.r.t grain size

Phonon lifetime and scattering rates

../../_images/fig_lifetime7084.png

(a) Phonon lifetime due to phonon-phonon scattering

../../_images/fig_scat_rates7083.png

(b) Phonon scattering rates

Cumulative and spectral thermal conductivity

../../_images/fig_cumu_frequency7084.png

(a) Spectral and cumulative thermal conductivity w.r.t frequency

../../_images/fig_cumu_mfp7083.png

(b) Spectral and cumulative thermal conductivity w.r.t MFP

Force constants

../../_images/fig_fc216085.png

(a) Force constants w.r.t atomic distance

Summary

../../_images/fig_kappa13483.png

(a) Temperature-dependent lattice thermal conductivity

../../_images/fig_times27034.png

(b) Computation time