mp-1101885/Na2PS3/anharm

Harmonic properties

../../_images/fig_bandos_pr16513.png

(a) Phonon dispersion with participation ratio and DOS

../../_images/fig_thermo16512.png

(b) Thermodynamic properties

Grüneisen parameters

../../_images/fig_gru_all7153.png

(a) Grüneisen parameters

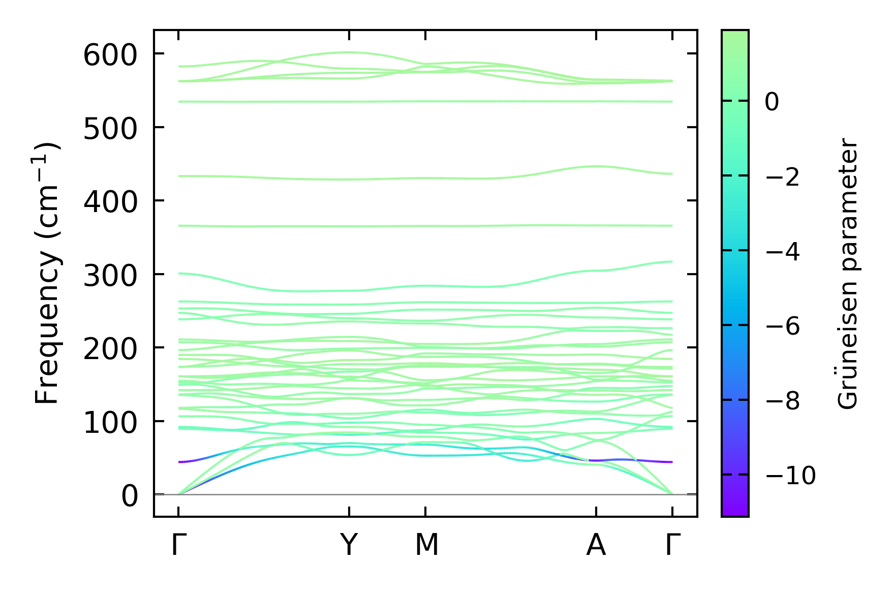
../../_images/fig_gruneisen7153.png

(b) Phonon dispersion with Grüneisen parameters

Thermal conductivity

3-phonon (LASSO) — q-mesh: 11x11x10, supercell: 2x1x2

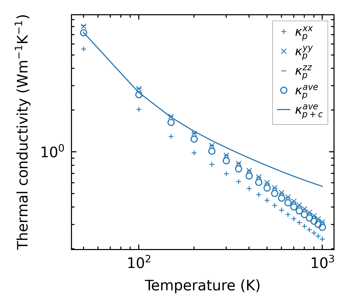
../../_images/fig_kappa13488.png

(a) Temperature-dependent lattice thermal conductivity

../../_images/fig_kappa_vs_grain_size7239.png

(b) Peierls lattice thermal conductivity w.r.t grain size

Phonon lifetime and scattering rates

../../_images/fig_lifetime7087.png

(a) Phonon lifetime due to phonon-phonon scattering

../../_images/fig_scat_rates7086.png

(b) Phonon scattering rates

Cumulative and spectral thermal conductivity

../../_images/fig_cumu_frequency7087.png

(a) Spectral and cumulative thermal conductivity w.r.t frequency

../../_images/fig_cumu_mfp7086.png

(b) Spectral and cumulative thermal conductivity w.r.t MFP

Force constants

../../_images/fig_fc216088.png

(a) Force constants w.r.t atomic distance

Summary

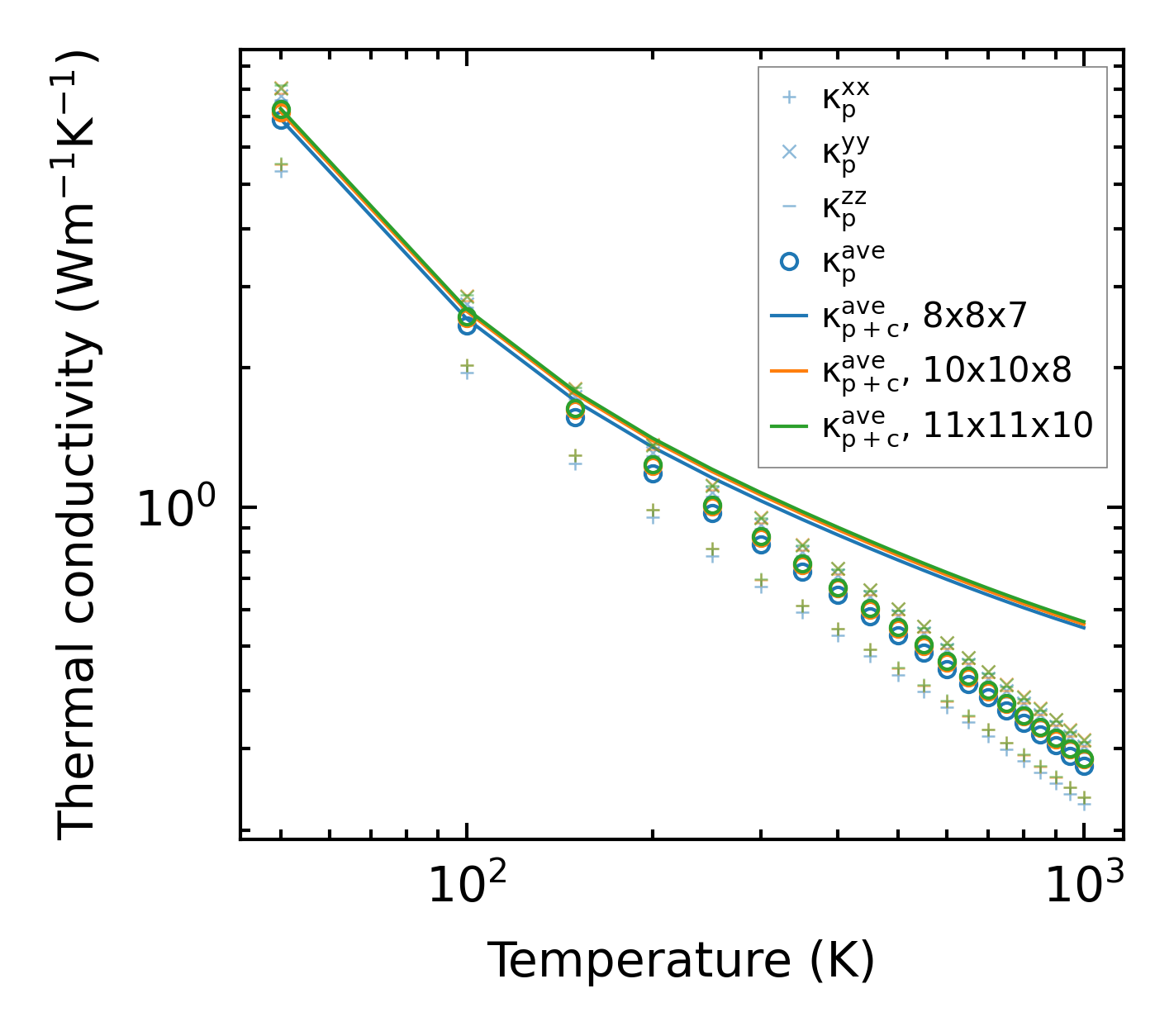
../../_images/fig_kappa13489.png

(a) Temperature-dependent lattice thermal conductivity

../../_images/fig_times27037.png

(b) Computation time