mp-1029784/Rb2CN2/anharm

Equation of state

../../_images/fig_bm7822.png

(a) Equation of state

Harmonic properties

../../_images/fig_bandos_pr17191.png

(a) Phonon dispersion with participation ratio and DOS

../../_images/fig_bandos21591.png

(b) Phonon dispersion and DOS

../../_images/fig_thermo17190.png

(c) Thermodynamic properties

Grüneisen parameters

../../_images/fig_gru_all7533.png

(a) Grüneisen parameters

../../_images/fig_gruneisen7533.png

(b) Phonon dispersion with Grüneisen parameters

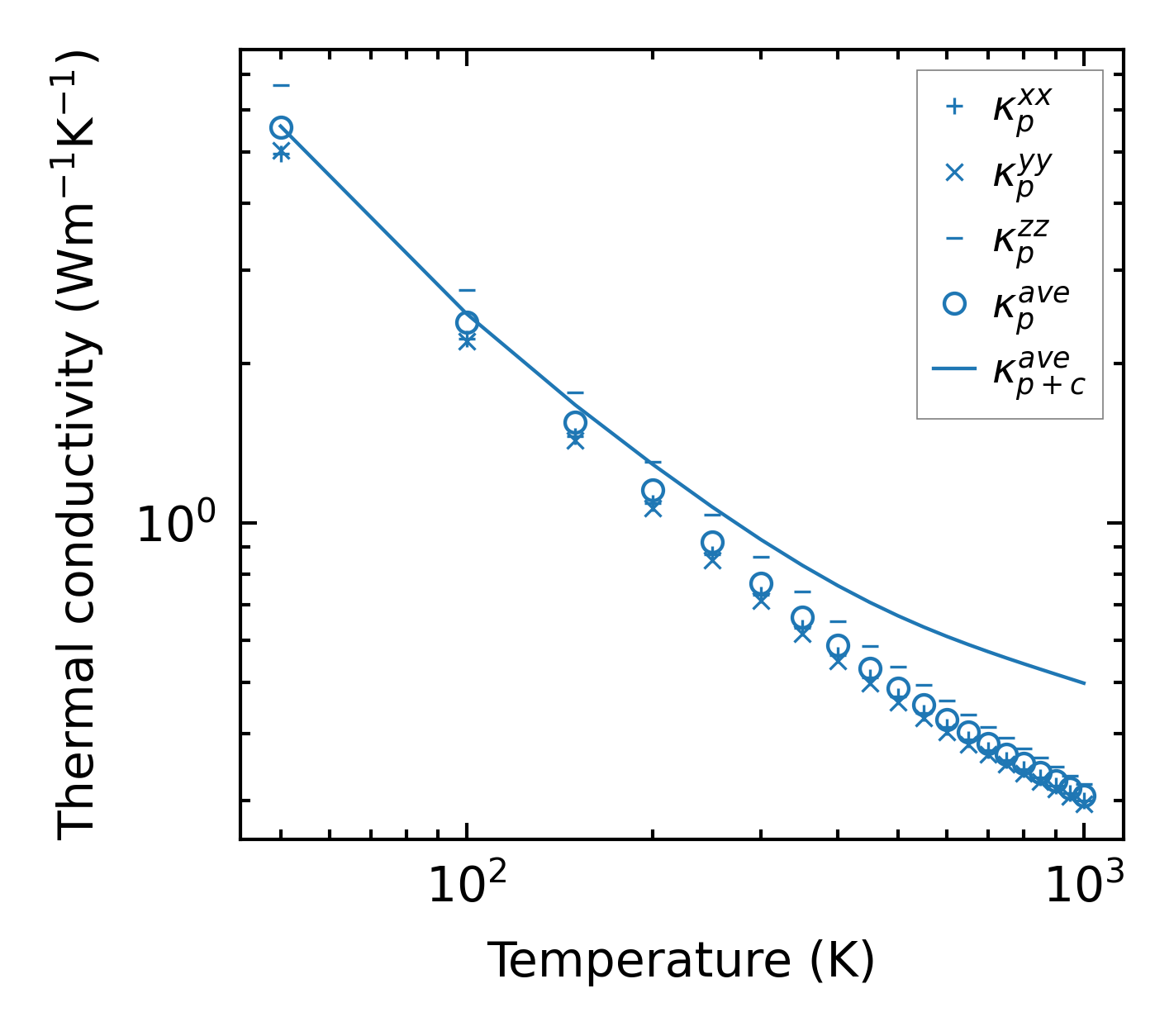
Thermal conductivity

3-phonon (LASSO), supercell 3x2x2 — q-mesh: 12x12x7, supercell: 3x2x2

../../_images/fig_kappa14210.png

(a) Temperature-dependent lattice thermal conductivity

../../_images/fig_kappa_vs_grain_size7622.png

(b) Peierls lattice thermal conductivity w.r.t grain size

Phonon lifetime and scattering rates

../../_images/fig_lifetime7465.png

(a) Phonon lifetime due to phonon-phonon scattering

../../_images/fig_scat_rates7464.png

(b) Phonon scattering rates

Cumulative and spectral thermal conductivity

../../_images/fig_cumu_frequency7465.png

(a) Spectral and cumulative thermal conductivity w.r.t frequency

../../_images/fig_cumu_mfp7464.png

(b) Spectral and cumulative thermal conductivity w.r.t MFP

Force constants

../../_images/fig_fc216732.png

(a) Force constants w.r.t atomic distance

Summary

../../_images/fig_times28057.png

(a) Computation time