mp-1029337/Zr2SeN2/anharm

Harmonic properties

../../_images/fig_bandos_pr17180.png

(a) Phonon dispersion with participation ratio and DOS

../../_images/fig_thermo17179.png

(b) Thermodynamic properties

Grüneisen parameters

../../_images/fig_gru_all7524.png

(a) Grüneisen parameters

../../_images/fig_gruneisen7524.png

(b) Phonon dispersion with Grüneisen parameters

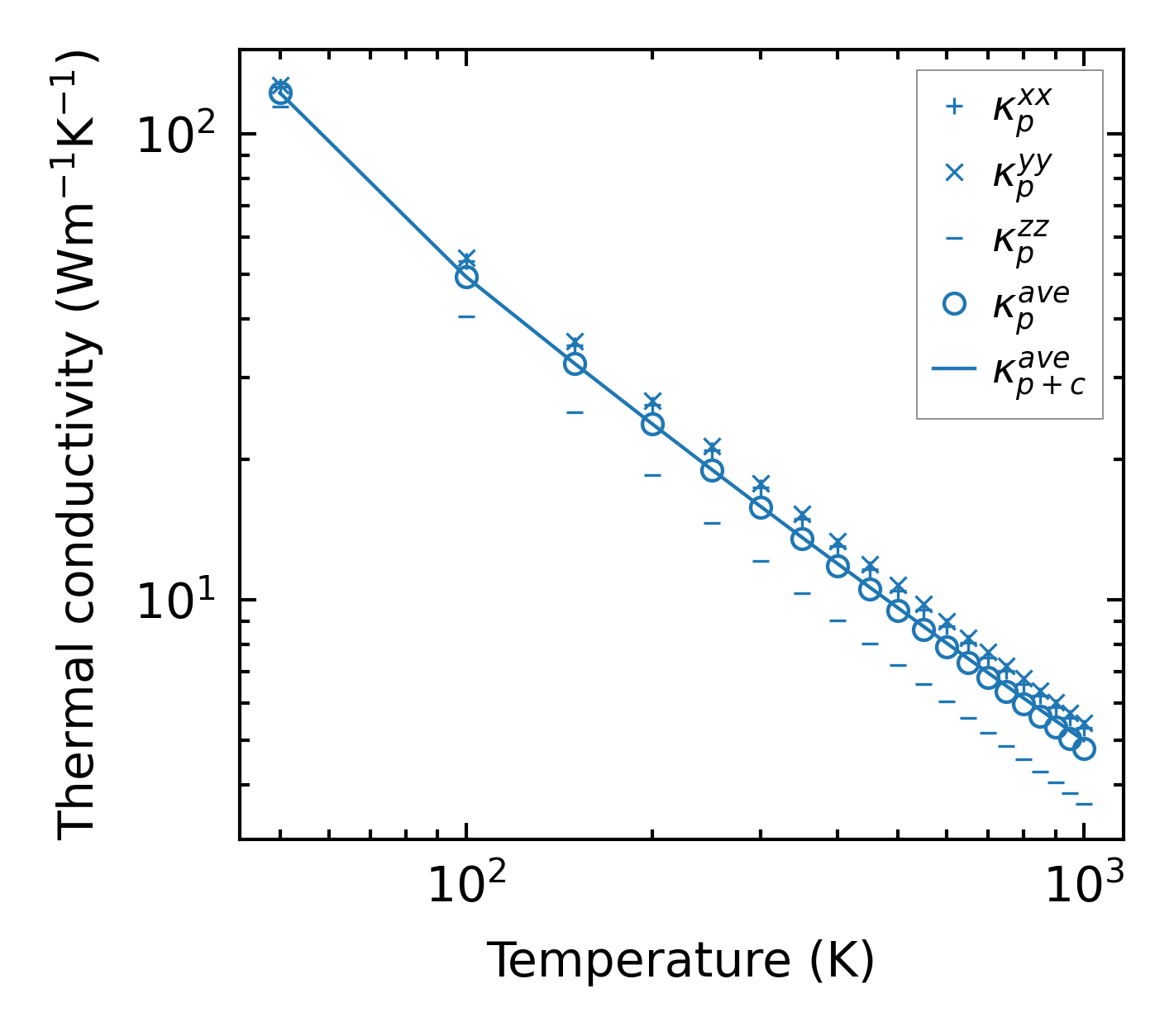
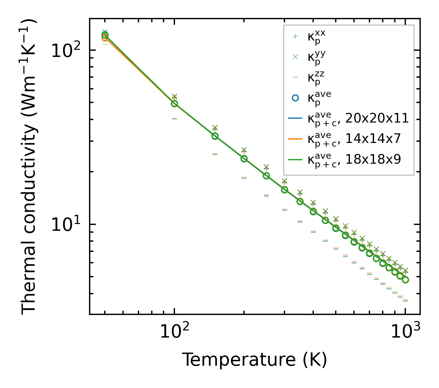
Thermal conductivity

3-phonon (LASSO) — q-mesh: 20x20x11, supercell: 2x3x2

../../_images/fig_kappa14192.png

(a) Temperature-dependent lattice thermal conductivity

../../_images/fig_kappa_vs_grain_size7613.png

(b) Peierls lattice thermal conductivity w.r.t grain size

Phonon lifetime and scattering rates

../../_images/fig_lifetime7456.png

(a) Phonon lifetime due to phonon-phonon scattering

../../_images/fig_scat_rates7455.png

(b) Phonon scattering rates

Cumulative and spectral thermal conductivity

../../_images/fig_cumu_frequency7456.png

(a) Spectral and cumulative thermal conductivity w.r.t frequency

../../_images/fig_cumu_mfp7455.png

(b) Spectral and cumulative thermal conductivity w.r.t MFP

Force constants

../../_images/fig_fc216721.png

(a) Force constants w.r.t atomic distance

Summary

../../_images/fig_kappa14193.png

(a) Temperature-dependent lattice thermal conductivity

../../_images/fig_times28045.png

(b) Computation time