mp-1029359/CaHfN2/anharm

Harmonic properties

../../_images/fig_bandos_pr17182.png

(a) Phonon dispersion with participation ratio and DOS

../../_images/fig_thermo17181.png

(b) Thermodynamic properties

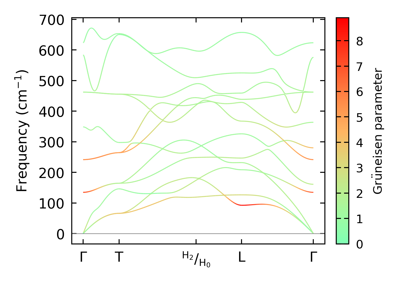
Grüneisen parameters

../../_images/fig_gru_all7526.png

(a) Grüneisen parameters

../../_images/fig_gruneisen7526.png

(b) Phonon dispersion with Grüneisen parameters

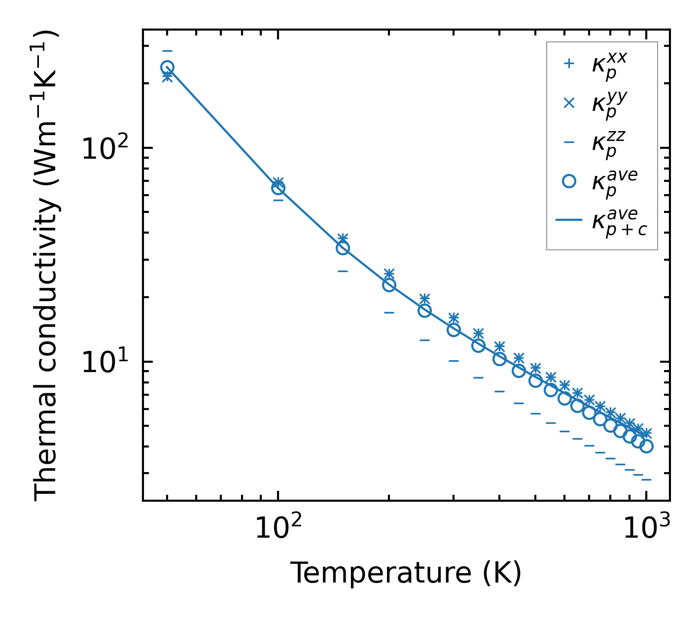
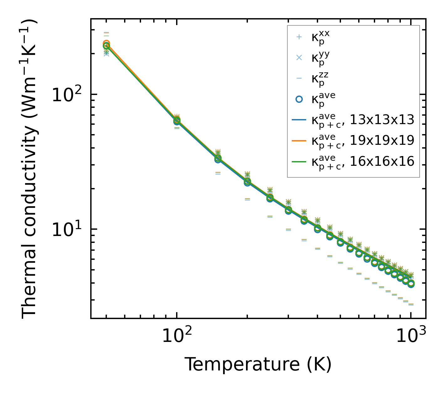
Thermal conductivity

3-phonon (LASSO) — q-mesh: 19x19x19, supercell: 3x3x1

../../_images/fig_kappa14196.png

(a) Temperature-dependent lattice thermal conductivity

../../_images/fig_kappa_vs_grain_size7615.png

(b) Peierls lattice thermal conductivity w.r.t grain size

Phonon lifetime and scattering rates

../../_images/fig_lifetime7458.png

(a) Phonon lifetime due to phonon-phonon scattering

../../_images/fig_scat_rates7457.png

(b) Phonon scattering rates

Cumulative and spectral thermal conductivity

../../_images/fig_cumu_frequency7458.png

(a) Spectral and cumulative thermal conductivity w.r.t frequency

../../_images/fig_cumu_mfp7457.png

(b) Spectral and cumulative thermal conductivity w.r.t MFP

Force constants

../../_images/fig_fc216723.png

(a) Force constants w.r.t atomic distance

Summary

../../_images/fig_kappa14197.png

(a) Temperature-dependent lattice thermal conductivity

../../_images/fig_times28047.png

(b) Computation time