mp-1029396/SrHfN2/anharm

Harmonic properties

../../_images/fig_bandos_pr17185.png

(a) Phonon dispersion with participation ratio and DOS

../../_images/fig_thermo17184.png

(b) Thermodynamic properties

Grüneisen parameters

../../_images/fig_gru_all7529.png

(a) Grüneisen parameters

../../_images/fig_gruneisen7529.png

(b) Phonon dispersion with Grüneisen parameters

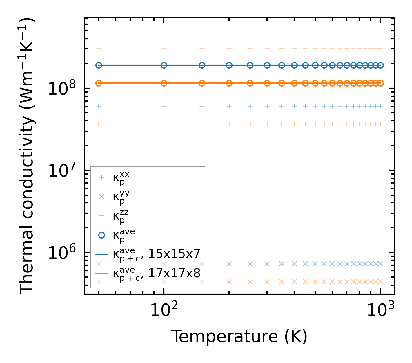
Thermal conductivity

3-phonon (LASSO) — q-mesh: 17x17x8, supercell: 3x3x2

../../_images/fig_kappa14202.png

(a) Temperature-dependent lattice thermal conductivity

../../_images/fig_kappa_vs_grain_size7618.png

(b) Peierls lattice thermal conductivity w.r.t grain size

Phonon lifetime and scattering rates

../../_images/fig_lifetime7461.png

(a) Phonon lifetime due to phonon-phonon scattering

../../_images/fig_scat_rates7460.png

(b) Phonon scattering rates

Cumulative and spectral thermal conductivity

../../_images/fig_cumu_frequency7461.png

(a) Spectral and cumulative thermal conductivity w.r.t frequency

../../_images/fig_cumu_mfp7460.png

(b) Spectral and cumulative thermal conductivity w.r.t MFP

Force constants

../../_images/fig_fc216726.png

(a) Force constants w.r.t atomic distance

Summary

../../_images/fig_kappa14203.png

(a) Temperature-dependent lattice thermal conductivity

../../_images/fig_times28050.png

(b) Computation time