mp-1029387/TaZn2N3/anharm

Harmonic properties

../../_images/fig_bandos_pr17184.png

(a) Phonon dispersion with participation ratio and DOS

../../_images/fig_thermo17183.png

(b) Thermodynamic properties

Grüneisen parameters

../../_images/fig_gru_all7528.png

(a) Grüneisen parameters

../../_images/fig_gruneisen7528.png

(b) Phonon dispersion with Grüneisen parameters

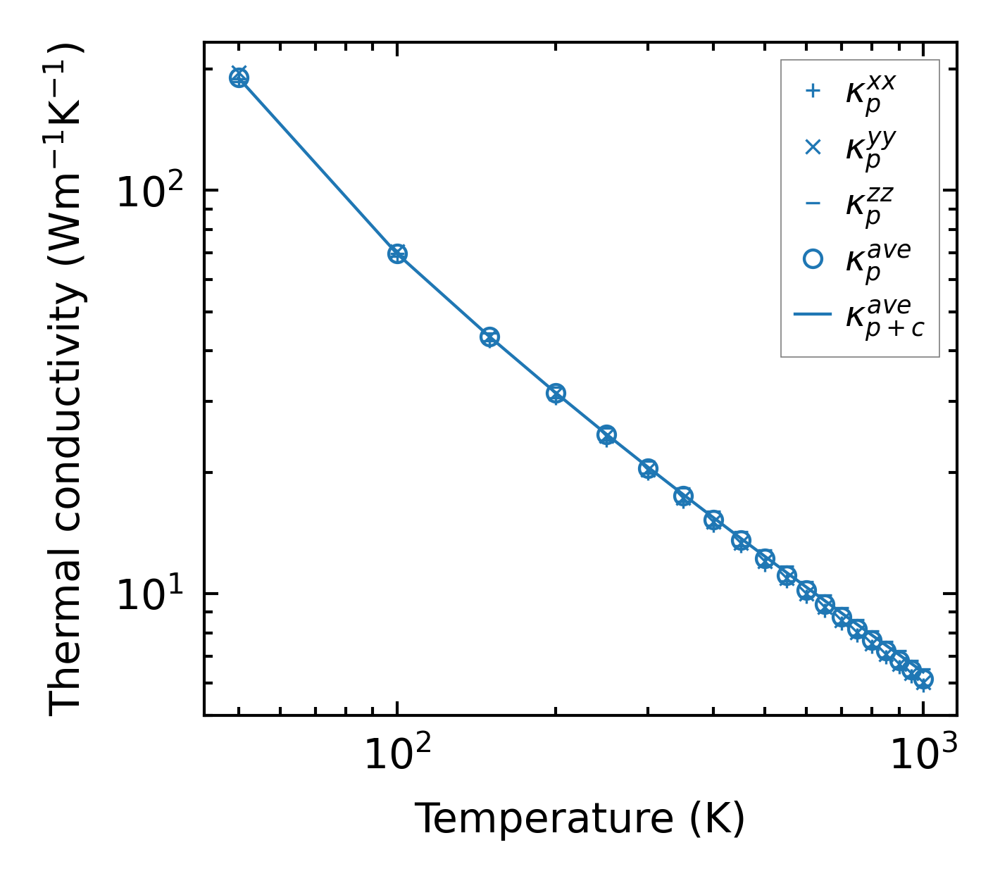
Thermal conductivity

3-phonon (LASSO) — q-mesh: 13x13x14, supercell: 1x2x2

../../_images/fig_kappa14200.png

(a) Temperature-dependent lattice thermal conductivity

../../_images/fig_kappa_vs_grain_size7617.png

(b) Peierls lattice thermal conductivity w.r.t grain size

Phonon lifetime and scattering rates

../../_images/fig_lifetime7460.png

(a) Phonon lifetime due to phonon-phonon scattering

../../_images/fig_scat_rates7459.png

(b) Phonon scattering rates

Cumulative and spectral thermal conductivity

../../_images/fig_cumu_frequency7460.png

(a) Spectral and cumulative thermal conductivity w.r.t frequency

../../_images/fig_cumu_mfp7459.png

(b) Spectral and cumulative thermal conductivity w.r.t MFP

Force constants

../../_images/fig_fc216725.png

(a) Force constants w.r.t atomic distance

Summary

../../_images/fig_kappa14201.png

(a) Temperature-dependent lattice thermal conductivity

../../_images/fig_times28049.png

(b) Computation time