mp-1029375/BaCN2/anharm

Harmonic properties

../../_images/fig_bandos_pr17183.png

(a) Phonon dispersion with participation ratio and DOS

../../_images/fig_thermo17182.png

(b) Thermodynamic properties

Grüneisen parameters

../../_images/fig_gru_all7527.png

(a) Grüneisen parameters

../../_images/fig_gruneisen7527.png

(b) Phonon dispersion with Grüneisen parameters

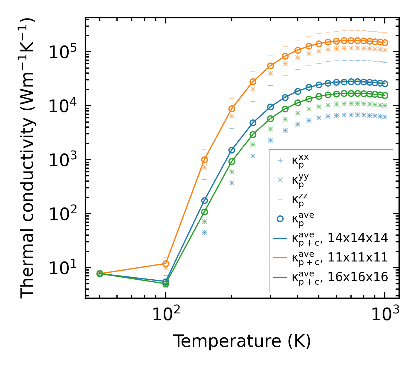
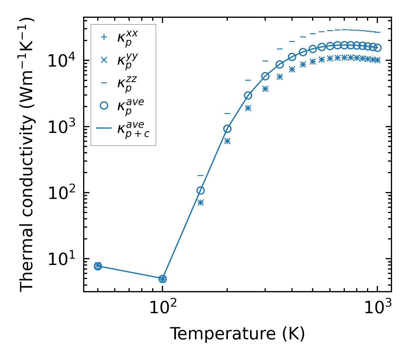
Thermal conductivity

3-phonon (LASSO) — q-mesh: 16x16x16, supercell: 3x3x1

../../_images/fig_kappa14198.png

(a) Temperature-dependent lattice thermal conductivity

../../_images/fig_kappa_vs_grain_size7616.png

(b) Peierls lattice thermal conductivity w.r.t grain size

Phonon lifetime and scattering rates

../../_images/fig_lifetime7459.png

(a) Phonon lifetime due to phonon-phonon scattering

../../_images/fig_scat_rates7458.png

(b) Phonon scattering rates

Cumulative and spectral thermal conductivity

../../_images/fig_cumu_frequency7459.png

(a) Spectral and cumulative thermal conductivity w.r.t frequency

../../_images/fig_cumu_mfp7458.png

(b) Spectral and cumulative thermal conductivity w.r.t MFP

Force constants

../../_images/fig_fc216724.png

(a) Force constants w.r.t atomic distance

Summary

../../_images/fig_kappa14199.png

(a) Temperature-dependent lattice thermal conductivity

../../_images/fig_times28048.png

(b) Computation time