mp-1029293/CsVN2/anharm

Harmonic properties

../../_images/fig_bandos_pr17178.png

(a) Phonon dispersion with participation ratio and DOS

../../_images/fig_thermo17177.png

(b) Thermodynamic properties

Grüneisen parameters

../../_images/fig_gru_all7522.png

(a) Grüneisen parameters

../../_images/fig_gruneisen7522.png

(b) Phonon dispersion with Grüneisen parameters

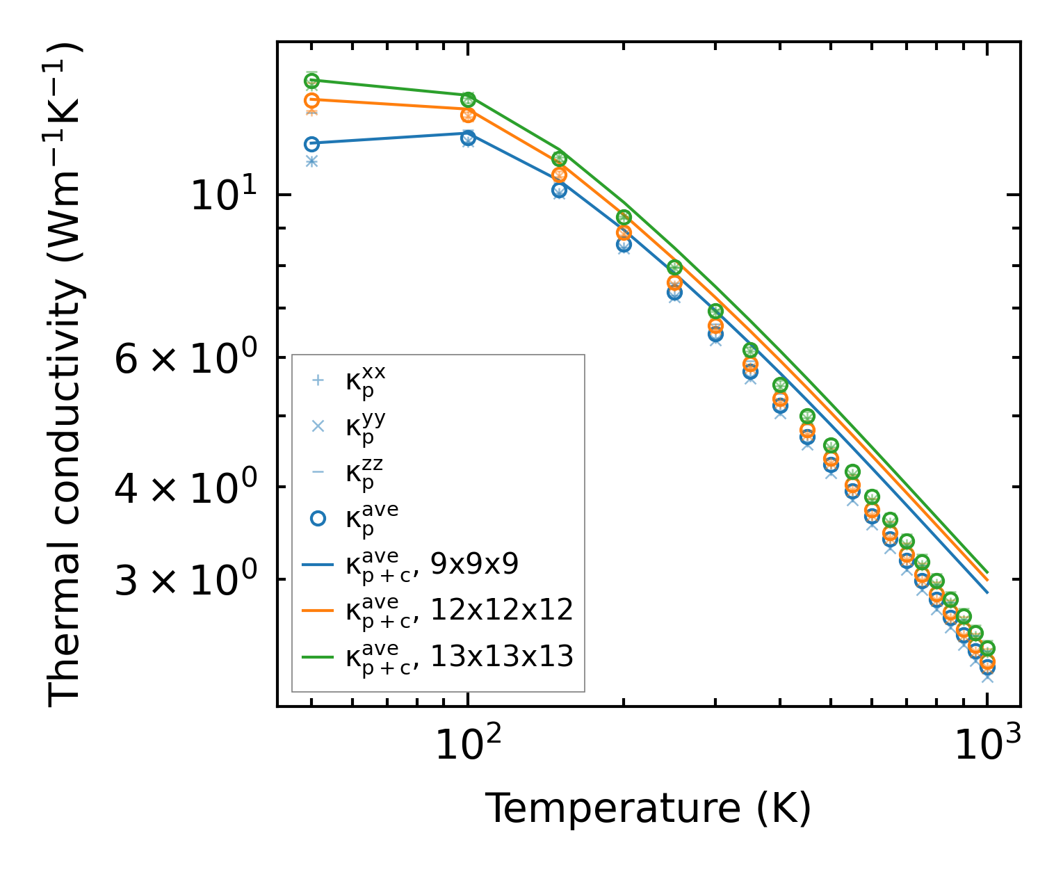
Thermal conductivity

3-phonon (LASSO) — q-mesh: 13x13x13, supercell: 2x2x2

../../_images/fig_kappa14188.png

(a) Temperature-dependent lattice thermal conductivity

../../_images/fig_kappa_vs_grain_size7611.png

(b) Peierls lattice thermal conductivity w.r.t grain size

Phonon lifetime and scattering rates

../../_images/fig_lifetime7454.png

(a) Phonon lifetime due to phonon-phonon scattering

../../_images/fig_scat_rates7453.png

(b) Phonon scattering rates

Cumulative and spectral thermal conductivity

../../_images/fig_cumu_frequency7454.png

(a) Spectral and cumulative thermal conductivity w.r.t frequency

../../_images/fig_cumu_mfp7453.png

(b) Spectral and cumulative thermal conductivity w.r.t MFP

Force constants

../../_images/fig_fc216719.png

(a) Force constants w.r.t atomic distance

Summary

../../_images/fig_kappa14189.png

(a) Temperature-dependent lattice thermal conductivity

../../_images/fig_times28041.png

(b) Computation time