mp-1018941-2/PrTeCl/anharm

Equation of state

../../_images/fig_bm8.png

(a) Equation of state

Harmonic properties

../../_images/fig_bandos_pr41.png

(a) Phonon dispersion with participation ratio and DOS

../../_images/fig_bandos43.png

(b) Phonon dispersion and DOS

../../_images/fig_thermo41.png

(c) Thermodynamic properties

Grüneisen parameters

../../_images/fig_gru_all34.png

(a) Grüneisen parameters

../../_images/fig_gruneisen34.png

(b) Phonon dispersion with Grüneisen parameters

Thermal conductivity

3-phonon (LASSO), supercell 4x4x2 — q-mesh: 16x16x8, supercell: 4x4x2

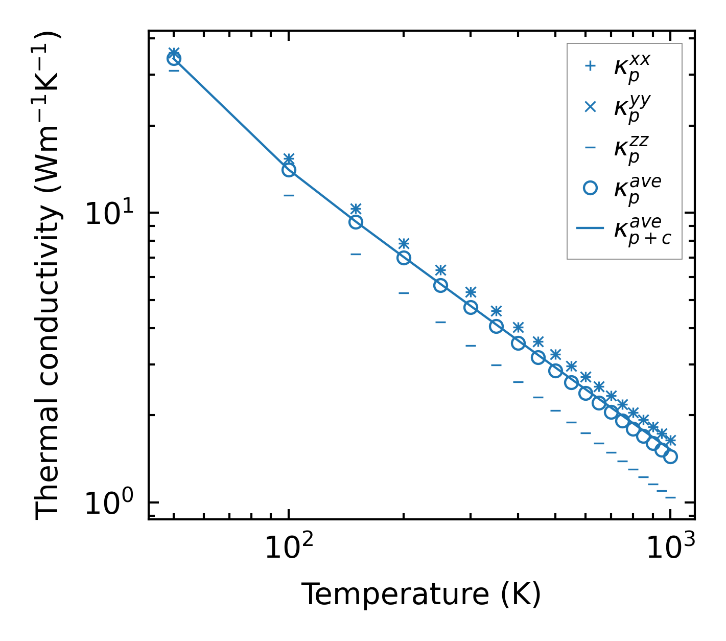
../../_images/fig_kappa66.png

(a) Temperature-dependent lattice thermal conductivity

../../_images/fig_kappa_vs_grain_size35.png

(b) Peierls lattice thermal conductivity w.r.t grain size

Phonon lifetime and scattering rates

../../_images/fig_lifetime34.png

(a) Phonon lifetime due to phonon-phonon scattering

../../_images/fig_scat_rates34.png

(b) Phonon scattering rates

Cumulative and spectral thermal conductivity

../../_images/fig_cumu_frequency34.png

(a) Spectral and cumulative thermal conductivity w.r.t frequency

../../_images/fig_cumu_mfp34.png

(b) Spectral and cumulative thermal conductivity w.r.t MFP

Force constants

../../_images/fig_fc240.png

(a) Force constants w.r.t atomic distance

Summary

../../_images/fig_times73.png

(a) Computation time