mp-1018807/MoSe2/anharm

Equation of state

../../_images/fig_bm5.png

(a) Equation of state

Harmonic properties

../../_images/fig_bandos_pr35.png

(a) Phonon dispersion with participation ratio and DOS

../../_images/fig_thermo35.png

(b) Thermodynamic properties

Grüneisen parameters

../../_images/fig_gru_all29.png

(a) Grüneisen parameters

../../_images/fig_gruneisen29.png

(b) Phonon dispersion with Grüneisen parameters

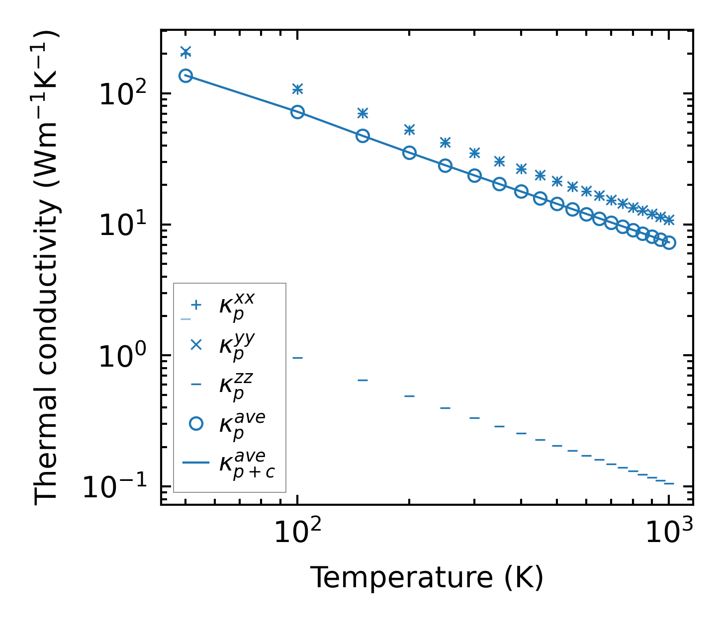
Thermal conductivity

3-phonon (LASSO) — q-mesh: 23x23x5, supercell: 4x3x1

../../_images/fig_kappa58.png

(a) Temperature-dependent lattice thermal conductivity

../../_images/fig_kappa_vs_grain_size30.png

(b) Peierls lattice thermal conductivity w.r.t grain size

Phonon lifetime and scattering rates

../../_images/fig_lifetime29.png

(a) Phonon lifetime due to phonon-phonon scattering

../../_images/fig_scat_rates29.png

(b) Phonon scattering rates

Cumulative and spectral thermal conductivity

../../_images/fig_cumu_frequency29.png

(a) Spectral and cumulative thermal conductivity w.r.t frequency

../../_images/fig_cumu_mfp29.png

(b) Spectral and cumulative thermal conductivity w.r.t MFP

Force constants

../../_images/fig_fc234.png

(a) Force constants w.r.t atomic distance

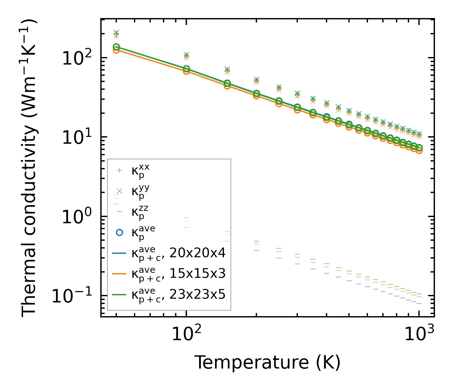
Summary

../../_images/fig_kappa59.png

(a) Temperature-dependent lattice thermal conductivity

../../_images/fig_times64.png

(b) Computation time