mp-1018731/HoSI/anharm

Harmonic properties

../../_images/fig_bandos_pr31.png

(a) Phonon dispersion with participation ratio and DOS

../../_images/fig_thermo31.png

(b) Thermodynamic properties

Grüneisen parameters

../../_images/fig_gru_all25.png

(a) Grüneisen parameters

../../_images/fig_gruneisen25.png

(b) Phonon dispersion with Grüneisen parameters

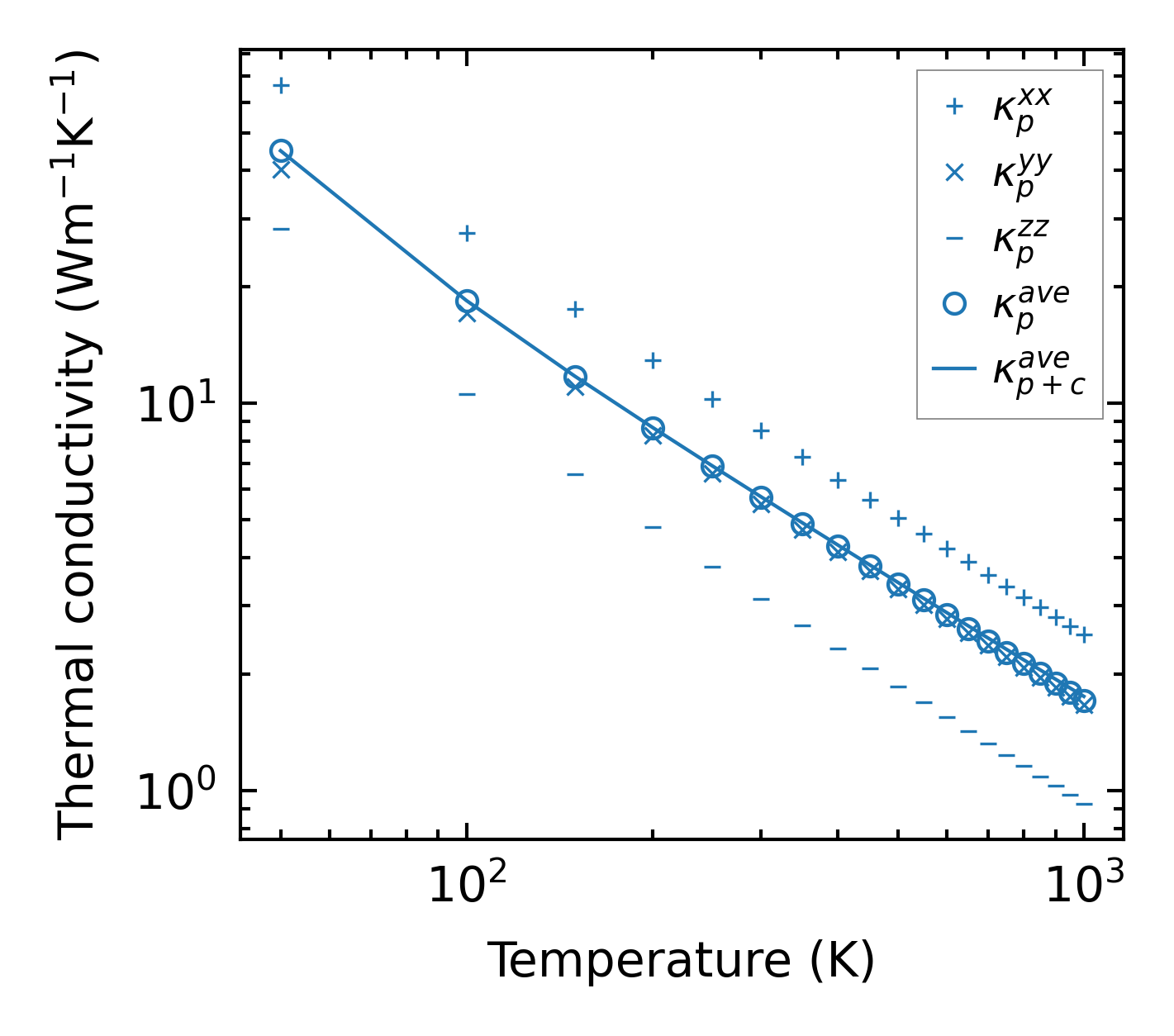
Thermal conductivity

3-phonon (LASSO) — q-mesh: 17x13x7, supercell: 4x3x2

../../_images/fig_kappa51.png

(a) Temperature-dependent lattice thermal conductivity

../../_images/fig_kappa_vs_grain_size26.png

(b) Peierls lattice thermal conductivity w.r.t grain size

Phonon lifetime and scattering rates

../../_images/fig_lifetime25.png

(a) Phonon lifetime due to phonon-phonon scattering

../../_images/fig_scat_rates25.png

(b) Phonon scattering rates

Cumulative and spectral thermal conductivity

../../_images/fig_cumu_frequency25.png

(a) Spectral and cumulative thermal conductivity w.r.t frequency

../../_images/fig_cumu_mfp25.png

(b) Spectral and cumulative thermal conductivity w.r.t MFP

Force constants

../../_images/fig_fc230.png

(a) Force constants w.r.t atomic distance

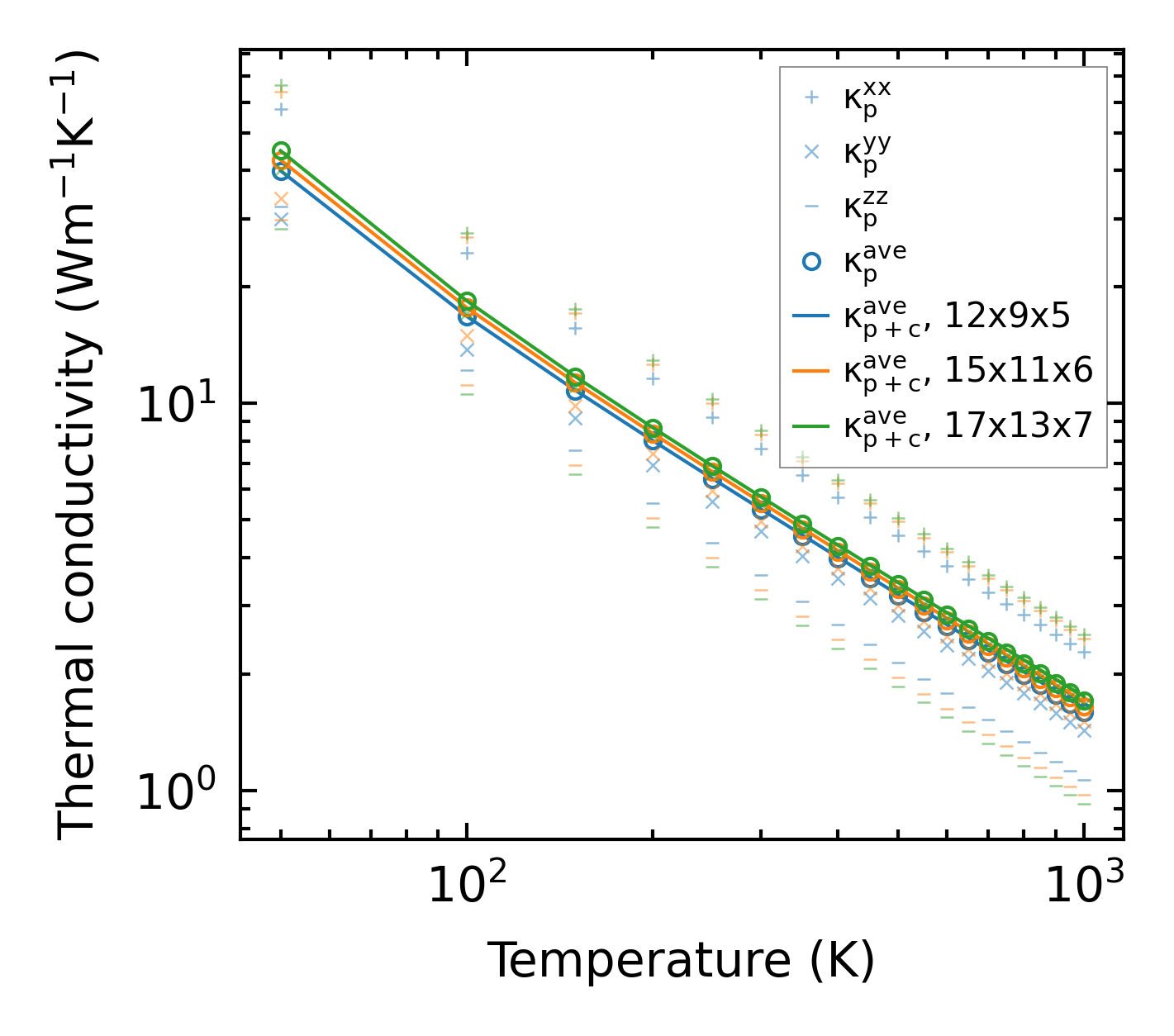
Summary

../../_images/fig_kappa52.png

(a) Temperature-dependent lattice thermal conductivity

../../_images/fig_times59.png

(b) Computation time