mp-1018096-2/Ba2NF/anharm

Equation of state

../../_images/fig_bm.png

(a) Equation of state

Harmonic properties

../../_images/fig_bandos_pr17.png

(a) Phonon dispersion with participation ratio and DOS

../../_images/fig_bandos23.png

(b) Phonon dispersion and DOS

../../_images/fig_thermo17.png

(c) Thermodynamic properties

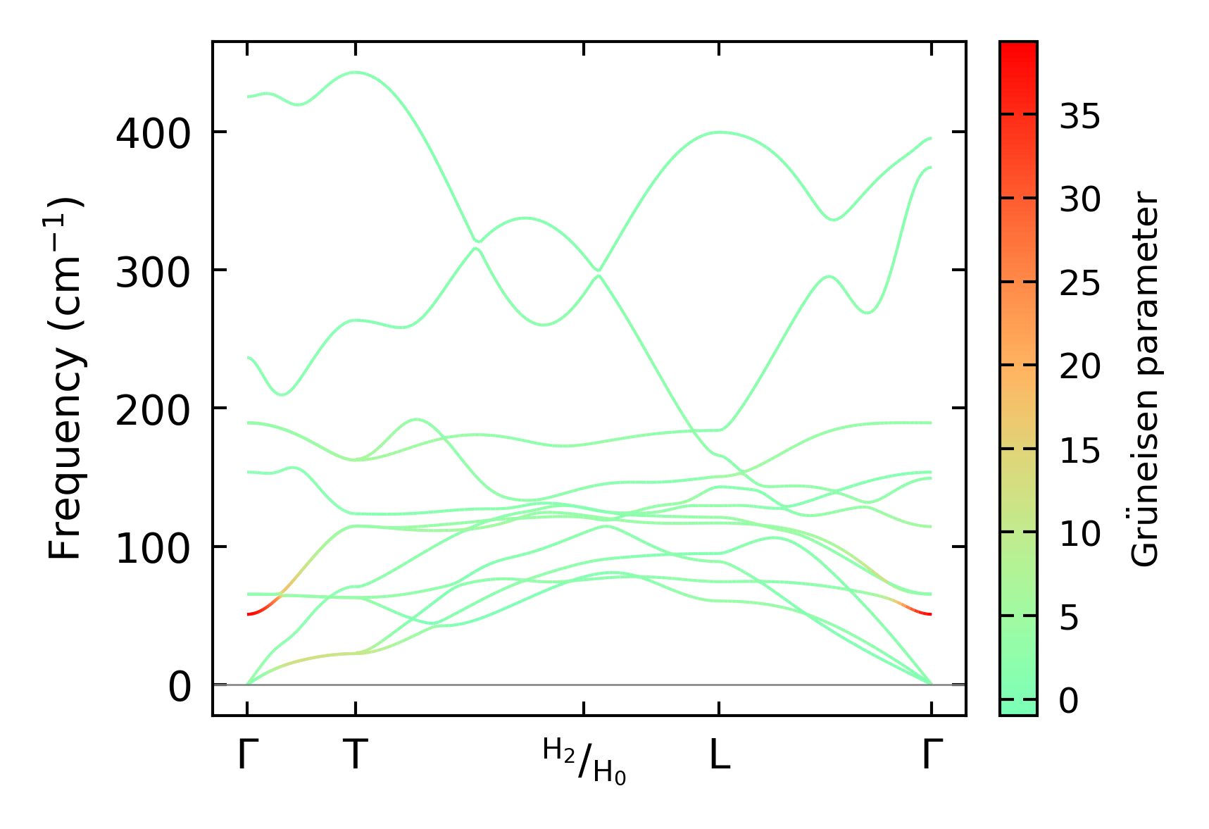
Grüneisen parameters

../../_images/fig_gru_all13.png

(a) Grüneisen parameters

../../_images/fig_gruneisen13.png

(b) Phonon dispersion with Grüneisen parameters

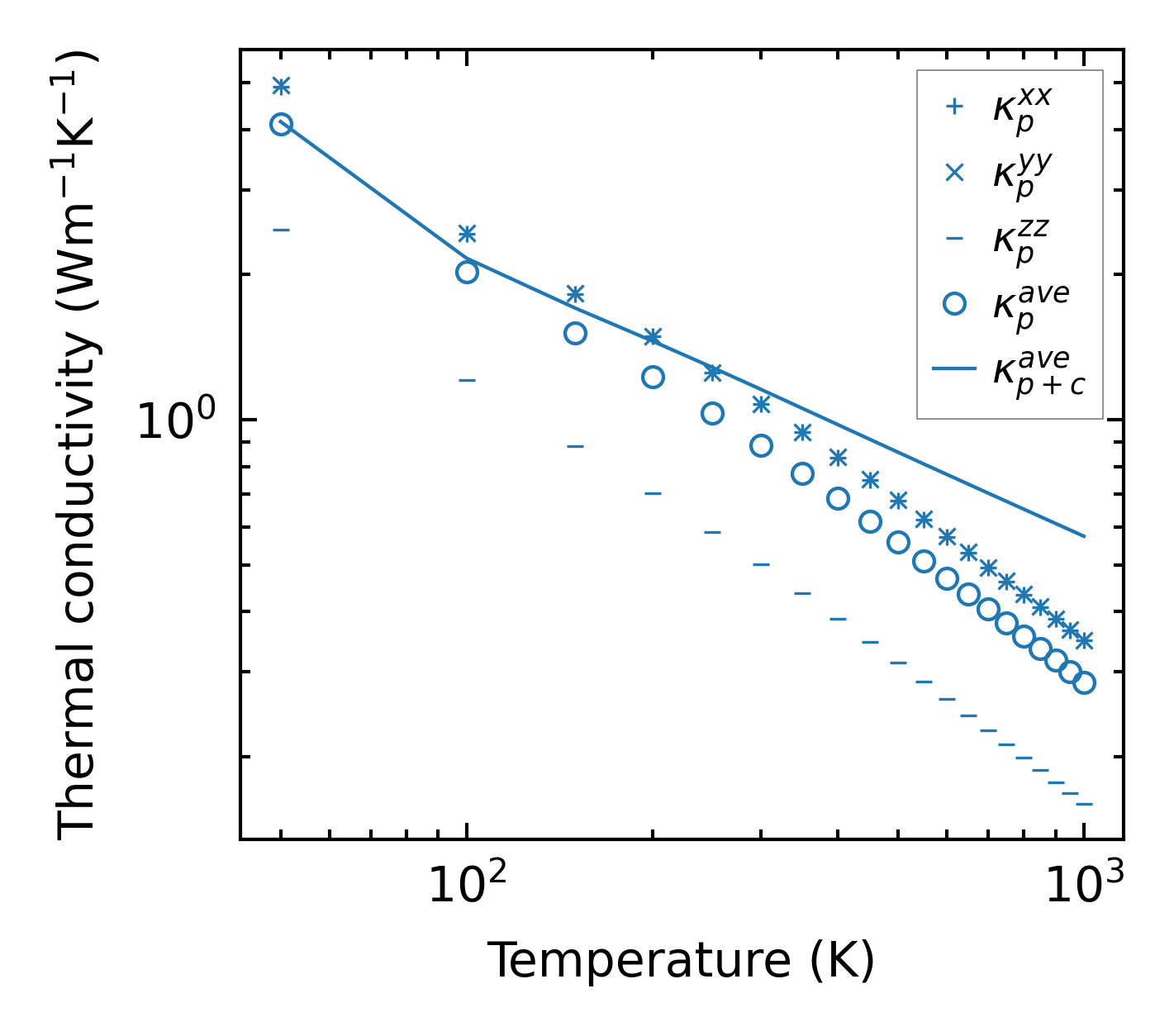
Thermal conductivity

3-phonon (LASSO) — q-mesh: 15x15x15, supercell: 3x3x1

../../_images/fig_kappa26.png

(a) Temperature-dependent lattice thermal conductivity

../../_images/fig_kappa_vs_grain_size13.png

(b) Peierls lattice thermal conductivity w.r.t grain size

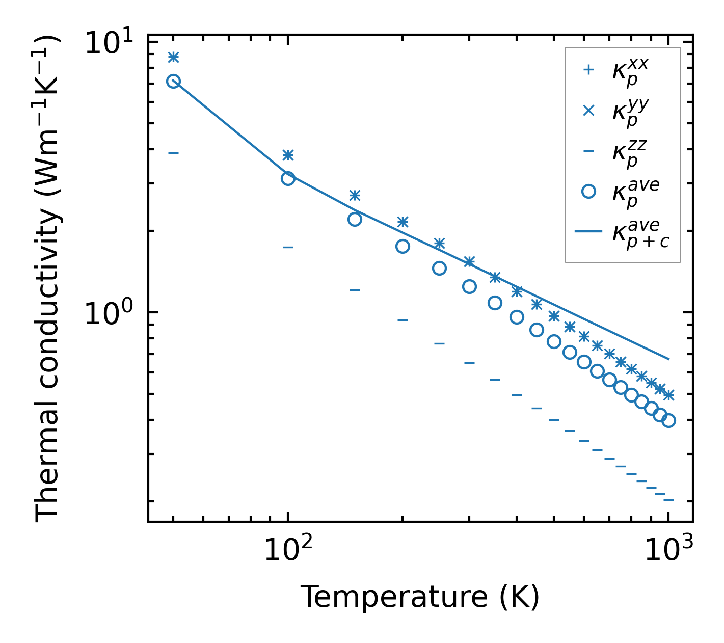
3-phonon (LASSO), supercell 4x4x1 — q-mesh: 15x15x15, supercell: 4x4x1

../../_images/fig_kappa27.png

(a) Temperature-dependent lattice thermal conductivity

../../_images/fig_kappa_vs_grain_size14.png

(b) Peierls lattice thermal conductivity w.r.t grain size

Phonon lifetime and scattering rates

../../_images/fig_lifetime13.png

(a) Phonon lifetime due to phonon-phonon scattering

../../_images/fig_scat_rates13.png

(b) Phonon scattering rates

Cumulative and spectral thermal conductivity

../../_images/fig_cumu_frequency13.png

(a) Spectral and cumulative thermal conductivity w.r.t frequency

../../_images/fig_cumu_mfp13.png

(b) Spectral and cumulative thermal conductivity w.r.t MFP

Force constants

../../_images/fig_fc217.png

(a) Force constants w.r.t atomic distance

Summary

../../_images/fig_kappa28.png

(a) Temperature-dependent lattice thermal conductivity

../../_images/fig_times36.png

(b) Computation time