mp-1018655/CN2/anharm

Equation of state

../../_images/fig_bm3.png

(a) Equation of state

Harmonic properties

../../_images/fig_bandos_pr25.png

(a) Phonon dispersion with participation ratio and DOS

../../_images/fig_thermo25.png

(b) Thermodynamic properties

Grüneisen parameters

../../_images/fig_gru_all21.png

(a) Grüneisen parameters

../../_images/fig_gruneisen21.png

(b) Phonon dispersion with Grüneisen parameters

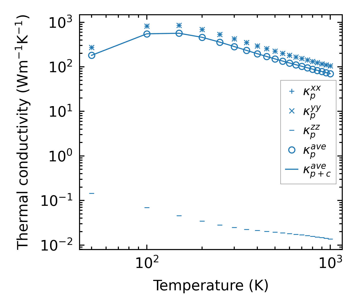
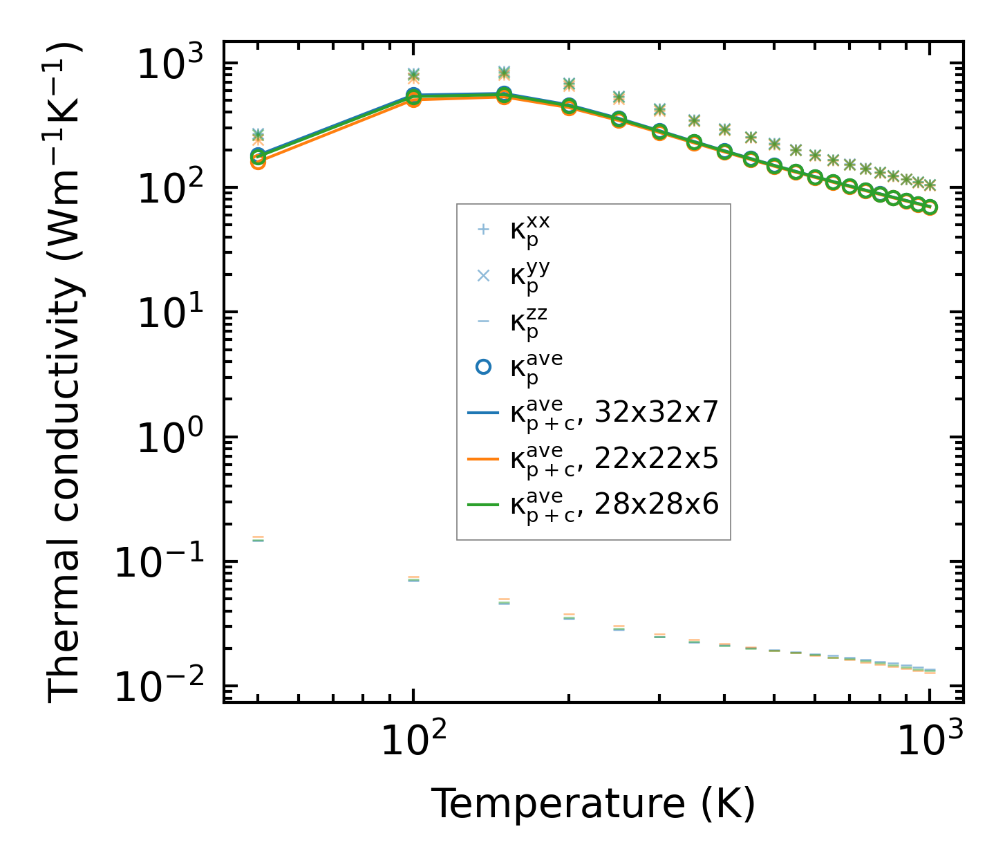
Thermal conductivity

3-phonon (LASSO) — q-mesh: 32x32x7, supercell: 5x5x1

../../_images/fig_kappa43.png

(a) Temperature-dependent lattice thermal conductivity

../../_images/fig_kappa_vs_grain_size22.png

(b) Peierls lattice thermal conductivity w.r.t grain size

Phonon lifetime and scattering rates

../../_images/fig_lifetime21.png

(a) Phonon lifetime due to phonon-phonon scattering

../../_images/fig_scat_rates21.png

(b) Phonon scattering rates

Cumulative and spectral thermal conductivity

../../_images/fig_cumu_frequency21.png

(a) Spectral and cumulative thermal conductivity w.r.t frequency

../../_images/fig_cumu_mfp21.png

(b) Spectral and cumulative thermal conductivity w.r.t MFP

Force constants

../../_images/fig_fc224.png

(a) Force constants w.r.t atomic distance

Summary

../../_images/fig_kappa44.png

(a) Temperature-dependent lattice thermal conductivity

../../_images/fig_times49.png

(b) Computation time