mp-1018664/CeO2/anharm

Harmonic properties

../../_images/fig_bandos_pr27.png

(a) Phonon dispersion with participation ratio and DOS

../../_images/fig_thermo27.png

(b) Thermodynamic properties

Grüneisen parameters

../../_images/fig_gru_all23.png

(a) Grüneisen parameters

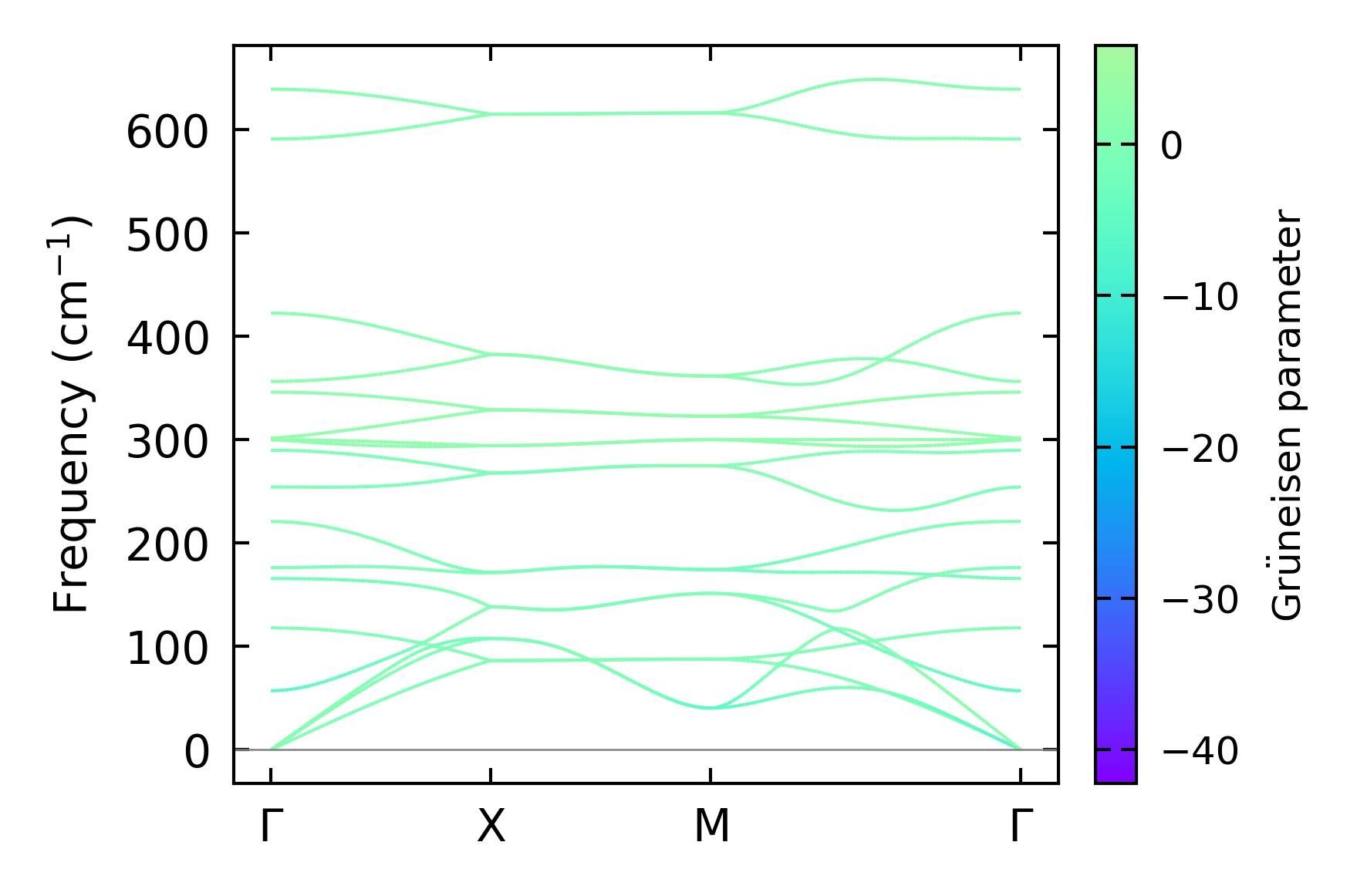
../../_images/fig_gruneisen23.png

(b) Phonon dispersion with Grüneisen parameters

Thermal conductivity

3-phonon (LASSO) — q-mesh: 14x14x19, supercell: 2x2x3

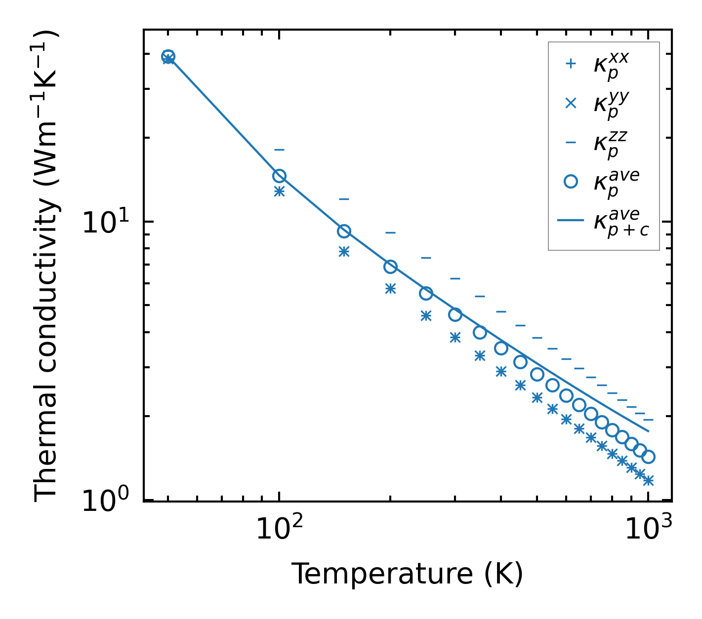
../../_images/fig_kappa47.png

(a) Temperature-dependent lattice thermal conductivity

../../_images/fig_kappa_vs_grain_size24.png

(b) Peierls lattice thermal conductivity w.r.t grain size

Phonon lifetime and scattering rates

../../_images/fig_lifetime23.png

(a) Phonon lifetime due to phonon-phonon scattering

../../_images/fig_scat_rates23.png

(b) Phonon scattering rates

Cumulative and spectral thermal conductivity

../../_images/fig_cumu_frequency23.png

(a) Spectral and cumulative thermal conductivity w.r.t frequency

../../_images/fig_cumu_mfp23.png

(b) Spectral and cumulative thermal conductivity w.r.t MFP

Force constants

../../_images/fig_fc226.png

(a) Force constants w.r.t atomic distance

Summary

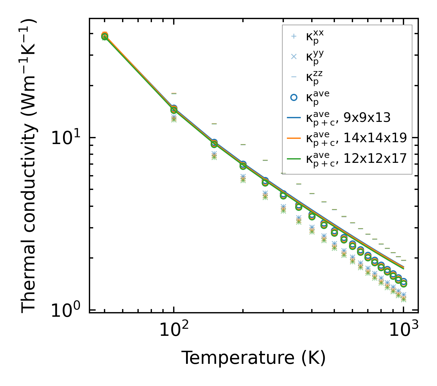
../../_images/fig_kappa48.png

(a) Temperature-dependent lattice thermal conductivity

../../_images/fig_times53.png

(b) Computation time