mp-1018099-2/Ba2NCl/anharm

Harmonic properties

../../_images/fig_bandos_pr21.png

(a) Phonon dispersion with participation ratio and DOS

../../_images/fig_thermo21.png

(b) Thermodynamic properties

Grüneisen parameters

../../_images/fig_gru_all17.png

(a) Grüneisen parameters

../../_images/fig_gruneisen17.png

(b) Phonon dispersion with Grüneisen parameters

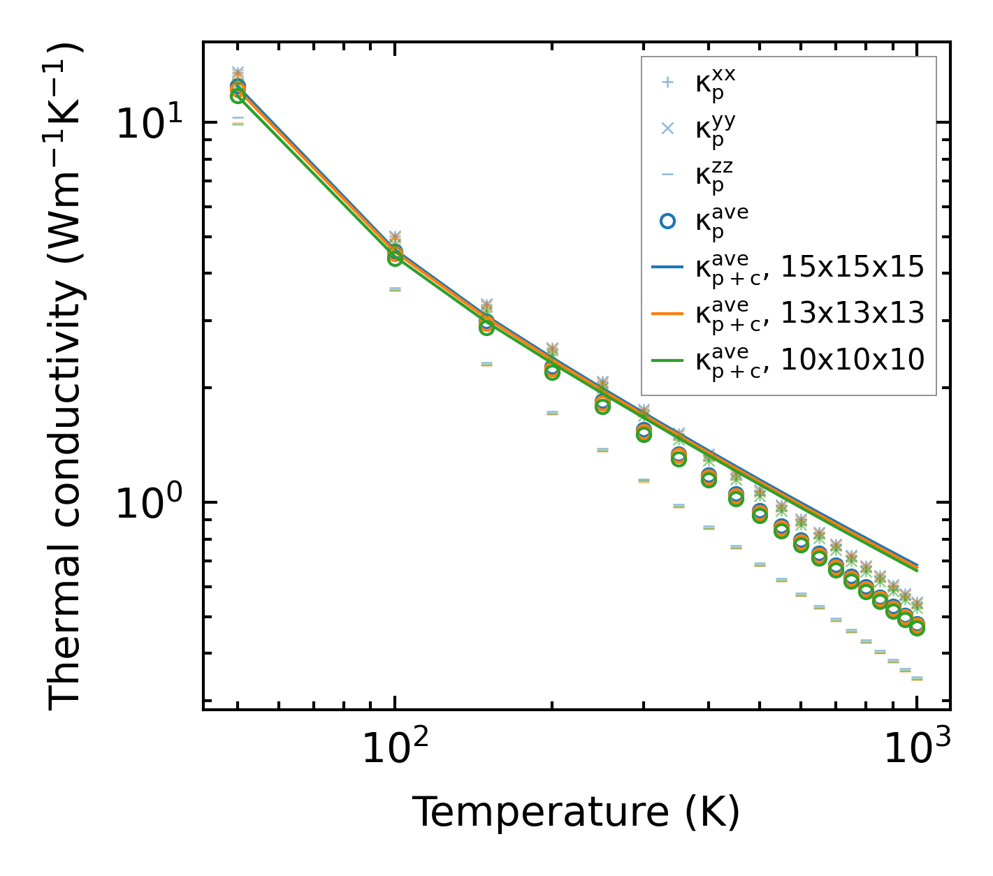
Thermal conductivity

3-phonon (LASSO) — q-mesh: 15x15x15, supercell: 3x3x1

../../_images/fig_kappa35.png

(a) Temperature-dependent lattice thermal conductivity

../../_images/fig_kappa_vs_grain_size18.png

(b) Peierls lattice thermal conductivity w.r.t grain size

Phonon lifetime and scattering rates

../../_images/fig_lifetime17.png

(a) Phonon lifetime due to phonon-phonon scattering

../../_images/fig_scat_rates17.png

(b) Phonon scattering rates

Cumulative and spectral thermal conductivity

../../_images/fig_cumu_frequency17.png

(a) Spectral and cumulative thermal conductivity w.r.t frequency

../../_images/fig_cumu_mfp17.png

(b) Spectral and cumulative thermal conductivity w.r.t MFP

Force constants

../../_images/fig_fc221.png

(a) Force constants w.r.t atomic distance

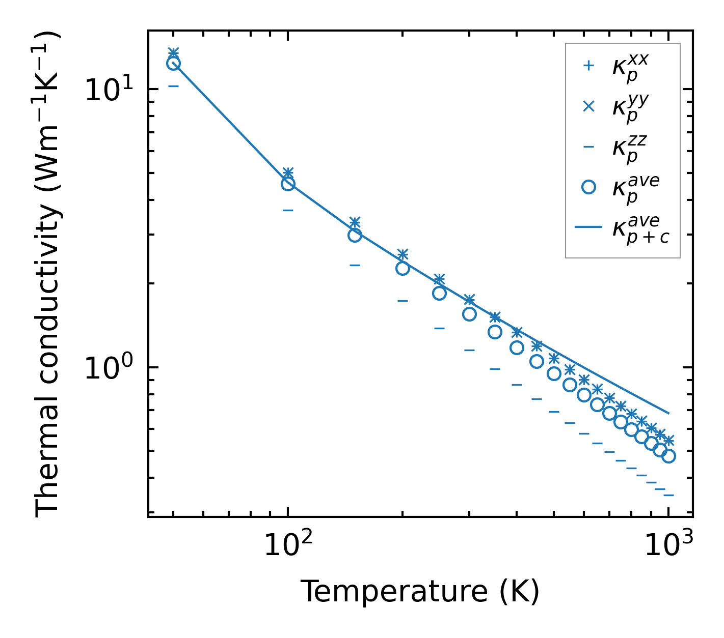
Summary

../../_images/fig_kappa36.png

(a) Temperature-dependent lattice thermal conductivity

../../_images/fig_times41.png

(b) Computation time