mp-1018099/Ba2NCl/anharm

Equation of state

../../_images/fig_bm2.png

(a) Equation of state

Harmonic properties

../../_images/fig_bandos_pr20.png

(a) Phonon dispersion with participation ratio and DOS

../../_images/fig_thermo20.png

(b) Thermodynamic properties

Grüneisen parameters

../../_images/fig_gru_all16.png

(a) Grüneisen parameters

../../_images/fig_gruneisen16.png

(b) Phonon dispersion with Grüneisen parameters

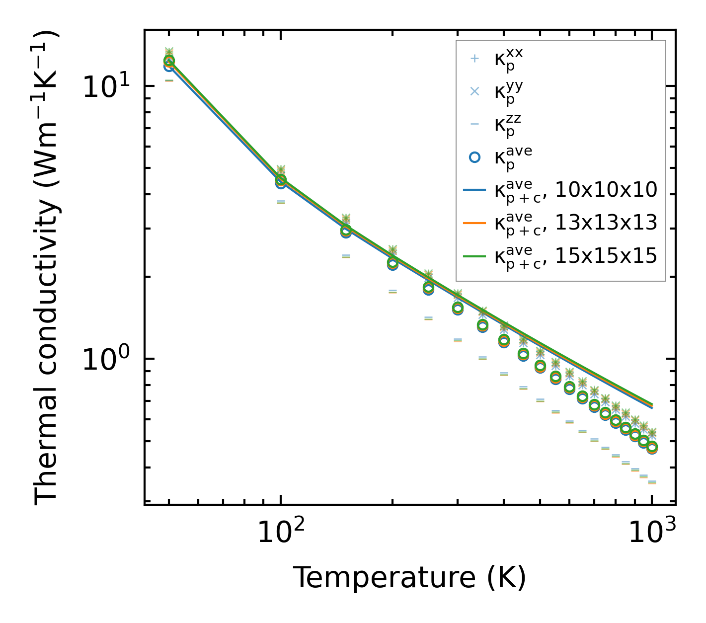
Thermal conductivity

3-phonon (LASSO) — q-mesh: 15x15x15, supercell: 3x3x1

../../_images/fig_kappa33.png

(a) Temperature-dependent lattice thermal conductivity

../../_images/fig_kappa_vs_grain_size17.png

(b) Peierls lattice thermal conductivity w.r.t grain size

Phonon lifetime and scattering rates

../../_images/fig_lifetime16.png

(a) Phonon lifetime due to phonon-phonon scattering

../../_images/fig_scat_rates16.png

(b) Phonon scattering rates

Cumulative and spectral thermal conductivity

../../_images/fig_cumu_frequency16.png

(a) Spectral and cumulative thermal conductivity w.r.t frequency

../../_images/fig_cumu_mfp16.png

(b) Spectral and cumulative thermal conductivity w.r.t MFP

Force constants

../../_images/fig_fc220.png

(a) Force constants w.r.t atomic distance

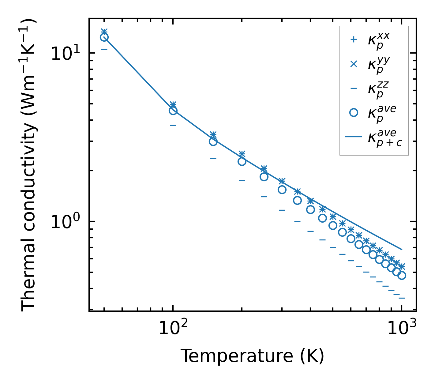
Summary

../../_images/fig_kappa34.png

(a) Temperature-dependent lattice thermal conductivity

../../_images/fig_times40.png

(b) Computation time