mp-999474/NaHoSe2/anharm

Harmonic properties

../../_images/fig_bandos_pr778.png

(a) Phonon dispersion with participation ratio and DOS

../../_images/fig_thermo778.png

(b) Thermodynamic properties

Grüneisen parameters

../../_images/fig_gru_all529.png

(a) Grüneisen parameters

../../_images/fig_gruneisen529.png

(b) Phonon dispersion with Grüneisen parameters

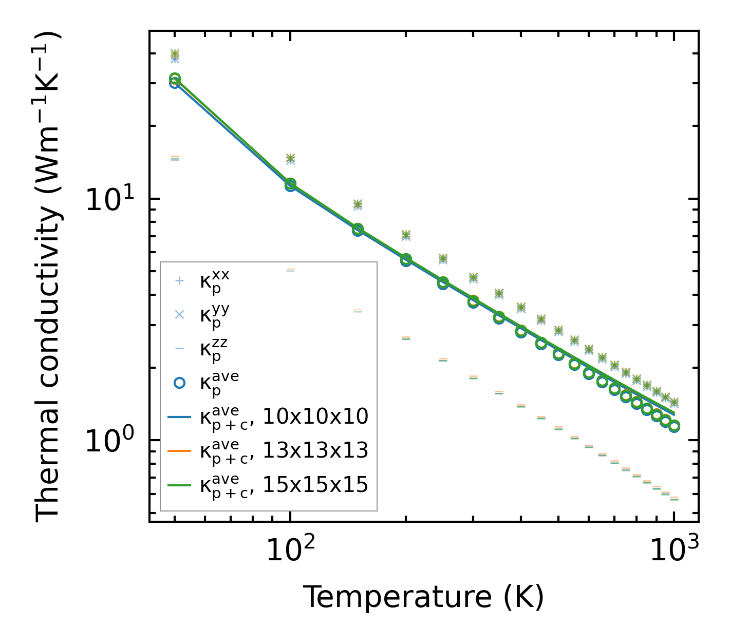
Thermal conductivity

3-phonon (LASSO) — q-mesh: 15x15x15, supercell: 3x3x1

../../_images/fig_kappa1031.png

(a) Temperature-dependent lattice thermal conductivity

../../_images/fig_kappa_vs_grain_size536.png

(b) Peierls lattice thermal conductivity w.r.t grain size

Phonon lifetime and scattering rates

../../_images/fig_lifetime527.png

(a) Phonon lifetime due to phonon-phonon scattering

../../_images/fig_scat_rates526.png

(b) Phonon scattering rates

Cumulative and spectral thermal conductivity

../../_images/fig_cumu_frequency527.png

(a) Spectral and cumulative thermal conductivity w.r.t frequency

../../_images/fig_cumu_mfp527.png

(b) Spectral and cumulative thermal conductivity w.r.t MFP

Force constants

../../_images/fig_fc2679.png

(a) Force constants w.r.t atomic distance

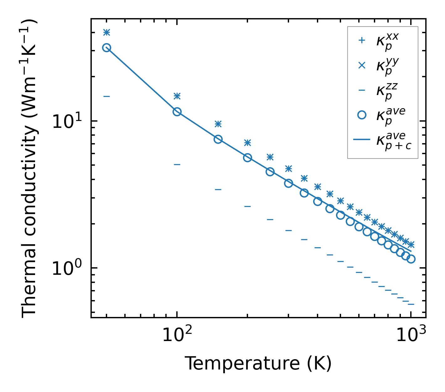
Summary

../../_images/fig_kappa1032.png

(a) Temperature-dependent lattice thermal conductivity

../../_images/fig_times1173.png

(b) Computation time