mp-999287-2/PrRhC2/harm

Equation of state

../../_images/fig_bm301.png

(a) Equation of state

Harmonic properties

../../_images/fig_bandos_pr766.png

(a) Phonon dispersion with participation ratio and DOS

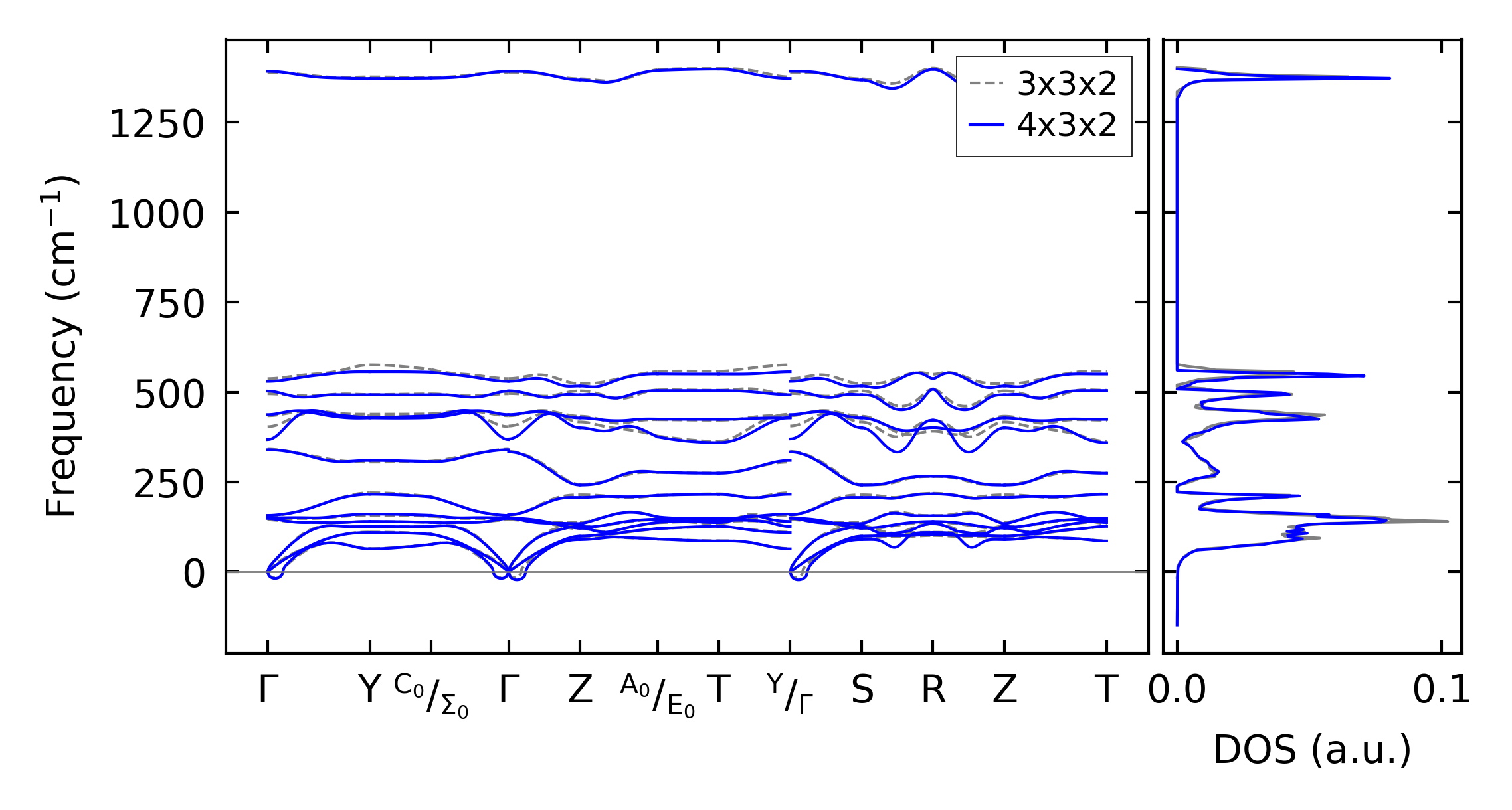
../../_images/fig_bandos681.png

(b) Phonon dispersion and DOS

../../_images/fig_thermo766.png

(c) Thermodynamic properties

Force constants

../../_images/fig_fc2667.png

(a) Force constants w.r.t atomic distance

Summary

../../_images/fig_times1157.png

(a) Computation time