mp-999472/NaLaSe2/anharm

Harmonic properties

../../_images/fig_bandos_pr777.png

(a) Phonon dispersion with participation ratio and DOS

../../_images/fig_thermo777.png

(b) Thermodynamic properties

Grüneisen parameters

../../_images/fig_gru_all528.png

(a) Grüneisen parameters

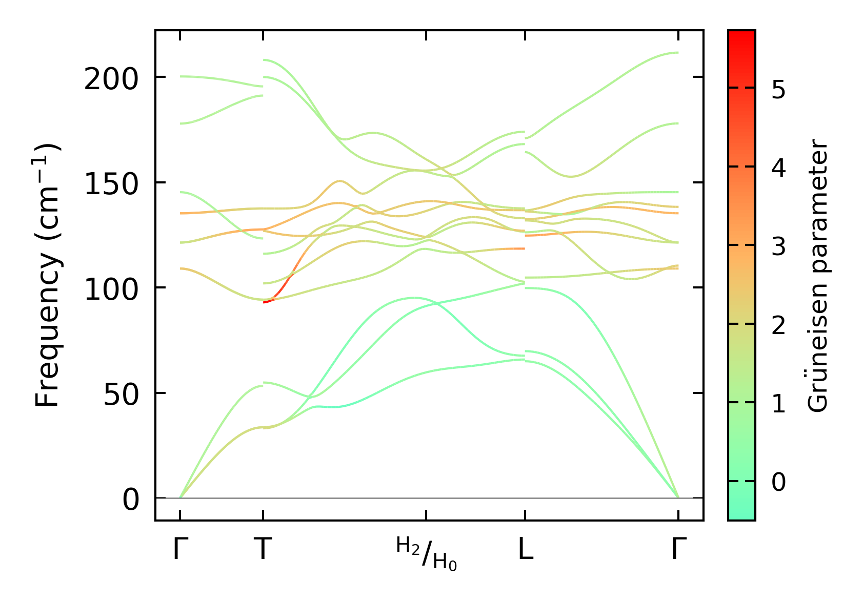
../../_images/fig_gruneisen528.png

(b) Phonon dispersion with Grüneisen parameters

Thermal conductivity

3-phonon (LASSO) — q-mesh: 14x14x14, supercell: 3x3x1

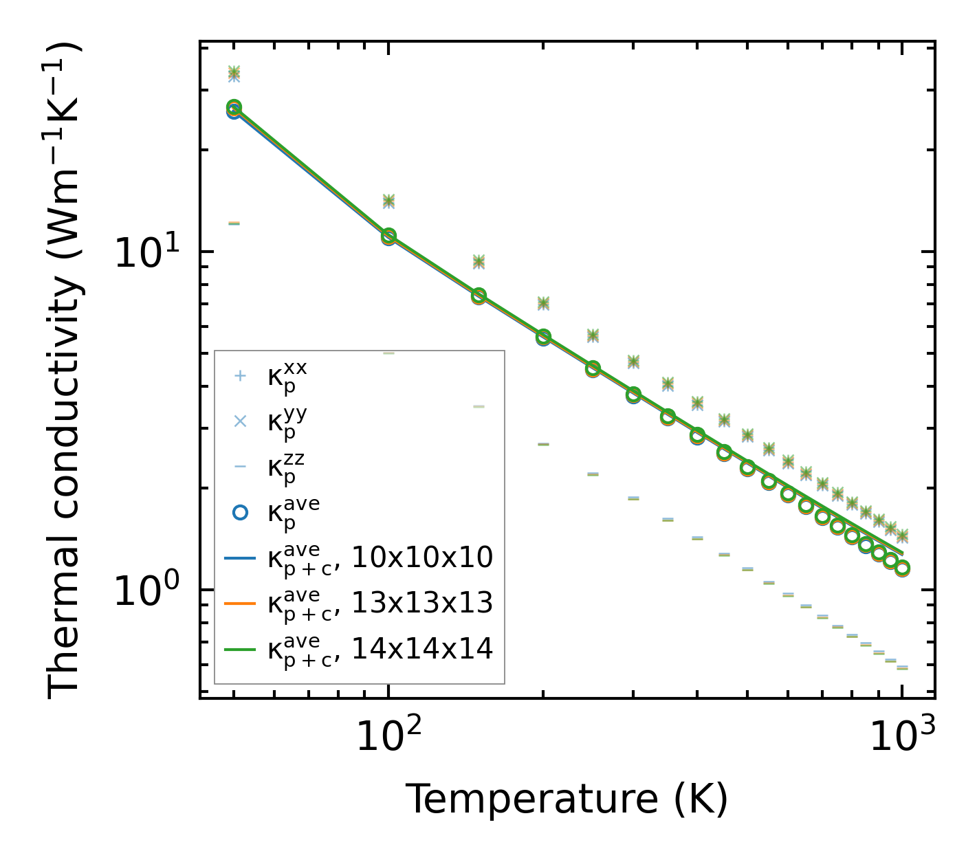
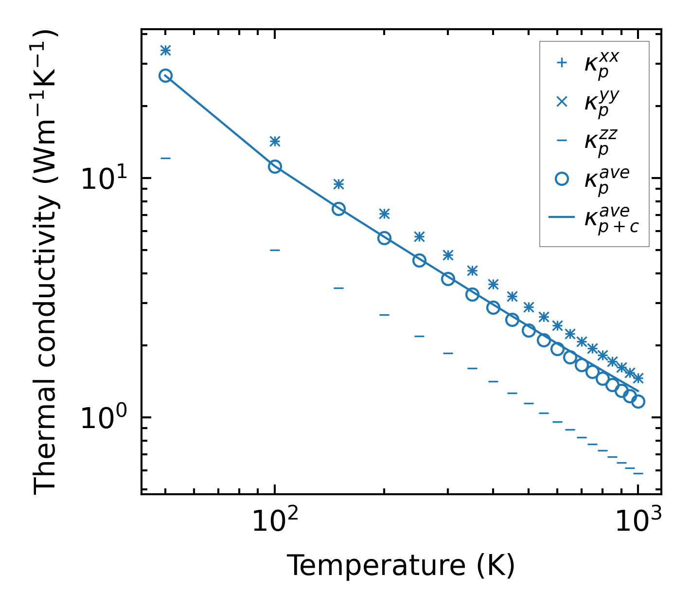
../../_images/fig_kappa1029.png

(a) Temperature-dependent lattice thermal conductivity

../../_images/fig_kappa_vs_grain_size535.png

(b) Peierls lattice thermal conductivity w.r.t grain size

Phonon lifetime and scattering rates

../../_images/fig_lifetime526.png

(a) Phonon lifetime due to phonon-phonon scattering

../../_images/fig_scat_rates525.png

(b) Phonon scattering rates

Cumulative and spectral thermal conductivity

../../_images/fig_cumu_frequency526.png

(a) Spectral and cumulative thermal conductivity w.r.t frequency

../../_images/fig_cumu_mfp526.png

(b) Spectral and cumulative thermal conductivity w.r.t MFP

Force constants

../../_images/fig_fc2678.png

(a) Force constants w.r.t atomic distance

Summary

../../_images/fig_kappa1030.png

(a) Temperature-dependent lattice thermal conductivity

../../_images/fig_times1172.png

(b) Computation time