mp-999470/NaNdS2/anharm

Harmonic properties

../../_images/fig_bandos_pr775.png

(a) Phonon dispersion with participation ratio and DOS

../../_images/fig_thermo775.png

(b) Thermodynamic properties

Grüneisen parameters

../../_images/fig_gru_all526.png

(a) Grüneisen parameters

../../_images/fig_gruneisen526.png

(b) Phonon dispersion with Grüneisen parameters

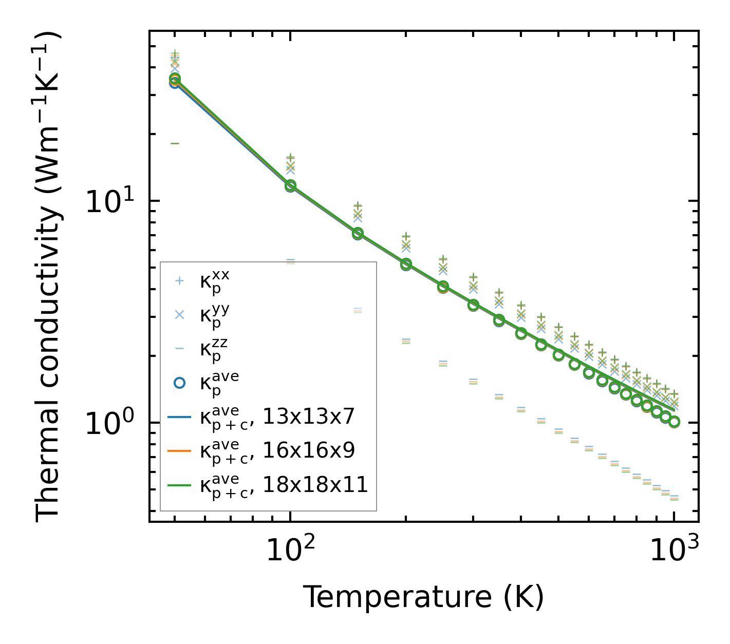
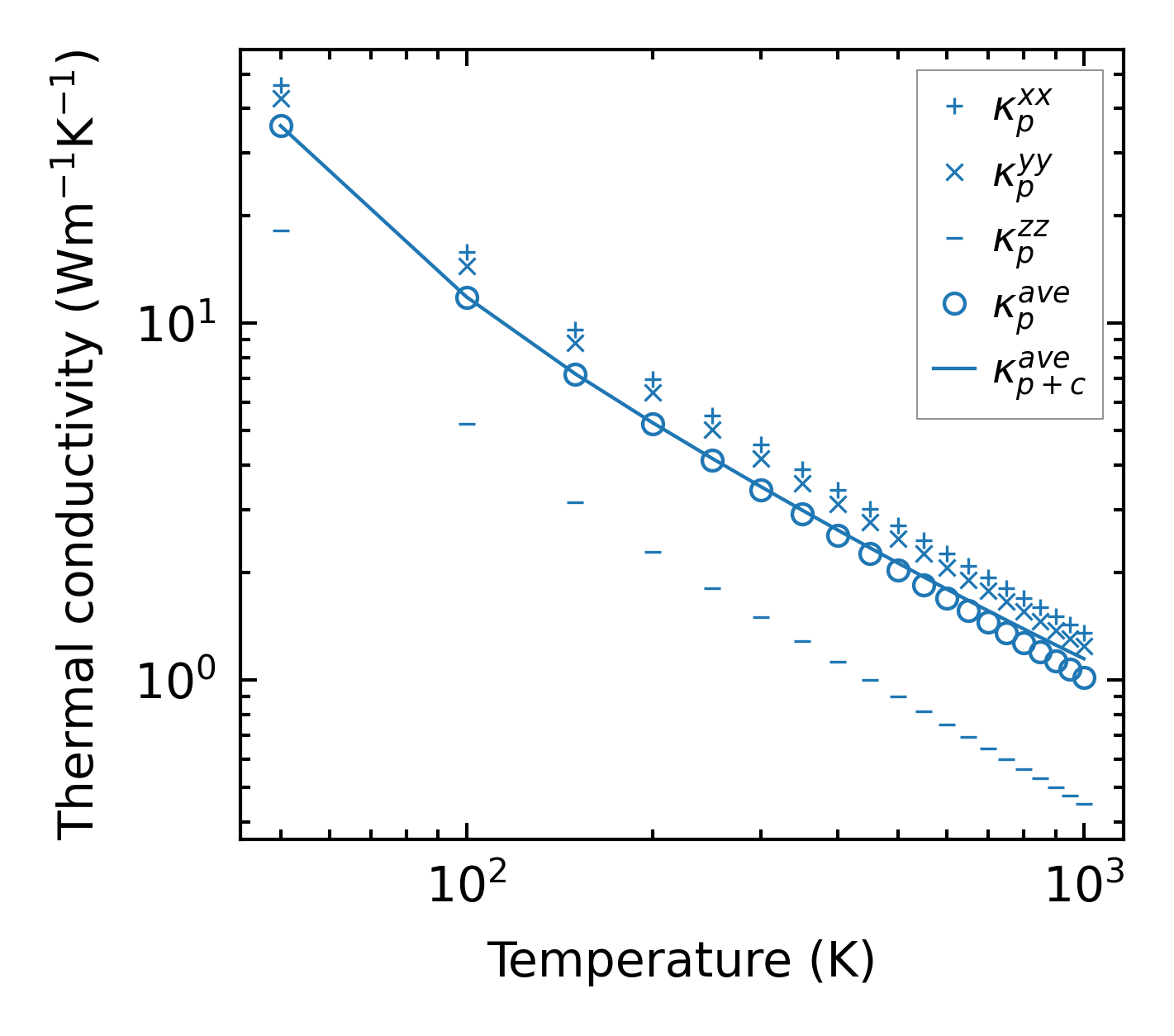
Thermal conductivity

3-phonon (LASSO) — q-mesh: 18x18x11, supercell: 2x4x2

../../_images/fig_kappa1025.png

(a) Temperature-dependent lattice thermal conductivity

../../_images/fig_kappa_vs_grain_size533.png

(b) Peierls lattice thermal conductivity w.r.t grain size

Phonon lifetime and scattering rates

../../_images/fig_lifetime524.png

(a) Phonon lifetime due to phonon-phonon scattering

../../_images/fig_scat_rates523.png

(b) Phonon scattering rates

Cumulative and spectral thermal conductivity

../../_images/fig_cumu_frequency524.png

(a) Spectral and cumulative thermal conductivity w.r.t frequency

../../_images/fig_cumu_mfp524.png

(b) Spectral and cumulative thermal conductivity w.r.t MFP

Force constants

../../_images/fig_fc2676.png

(a) Force constants w.r.t atomic distance

Summary

../../_images/fig_kappa1026.png

(a) Temperature-dependent lattice thermal conductivity

../../_images/fig_times1170.png

(b) Computation time