mp-999200/Si/anharm

Harmonic properties

../../_images/fig_bandos_pr762.png

(a) Phonon dispersion with participation ratio and DOS

../../_images/fig_thermo762.png

(b) Thermodynamic properties

Grüneisen parameters

../../_images/fig_gru_all515.png

(a) Grüneisen parameters

../../_images/fig_gruneisen515.png

(b) Phonon dispersion with Grüneisen parameters

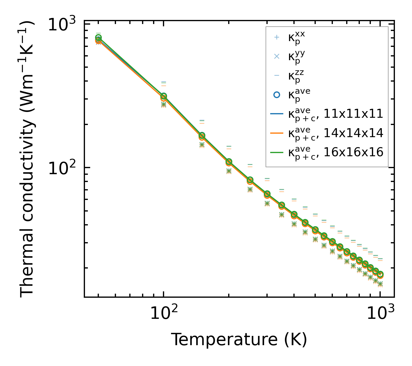
Thermal conductivity

3-phonon — q-mesh: 16x16x16, supercell: 2x2x4

../../_images/fig_kappa1003.png

(a) Temperature-dependent lattice thermal conductivity

../../_images/fig_kappa_vs_grain_size522.png

(b) Peierls lattice thermal conductivity w.r.t grain size

Phonon lifetime and scattering rates

../../_images/fig_lifetime513.png

(a) Phonon lifetime due to phonon-phonon scattering

../../_images/fig_scat_rates512.png

(b) Phonon scattering rates

Cumulative and spectral thermal conductivity

../../_images/fig_cumu_frequency513.png

(a) Spectral and cumulative thermal conductivity w.r.t frequency

../../_images/fig_cumu_mfp513.png

(b) Spectral and cumulative thermal conductivity w.r.t MFP

Force constants

../../_images/fig_fc397.png

(a) Force constants w.r.t atomic distance

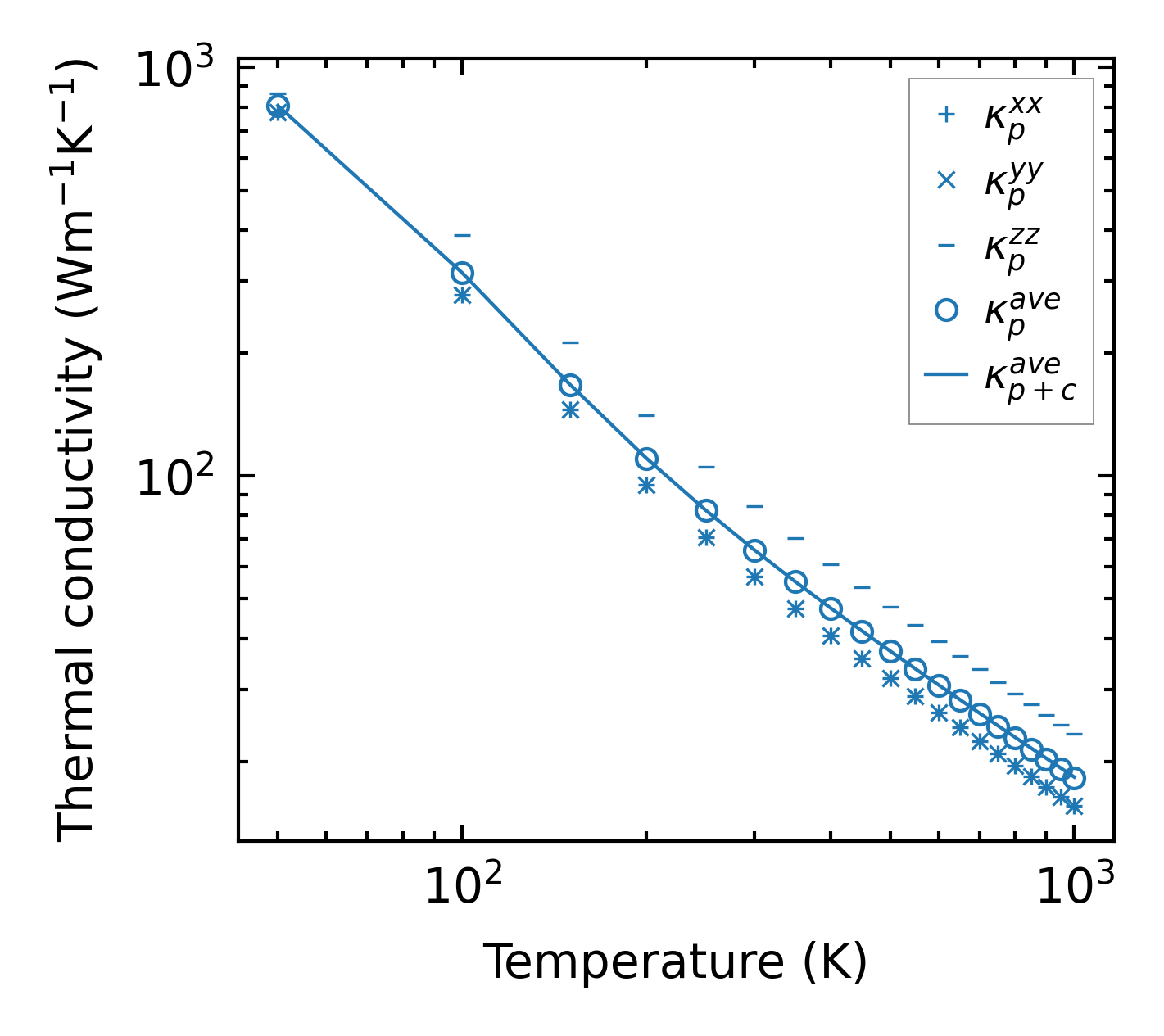
Summary

../../_images/fig_kappa1004.png

(a) Temperature-dependent lattice thermal conductivity

../../_images/fig_times1153.png

(b) Computation time