mp-769301/Ca4Ta2O9/anharm

Harmonic properties

../../_images/fig_bandos_pr2668.png

(a) Phonon dispersion with participation ratio and DOS

../../_images/fig_thermo2668.png

(b) Thermodynamic properties

Grüneisen parameters

../../_images/fig_gru_all1350.png

(a) Grüneisen parameters

../../_images/fig_gruneisen1350.png

(b) Phonon dispersion with Grüneisen parameters

Thermal conductivity

3-phonon (LASSO) — q-mesh: 7x12x4, supercell: 1x2x1

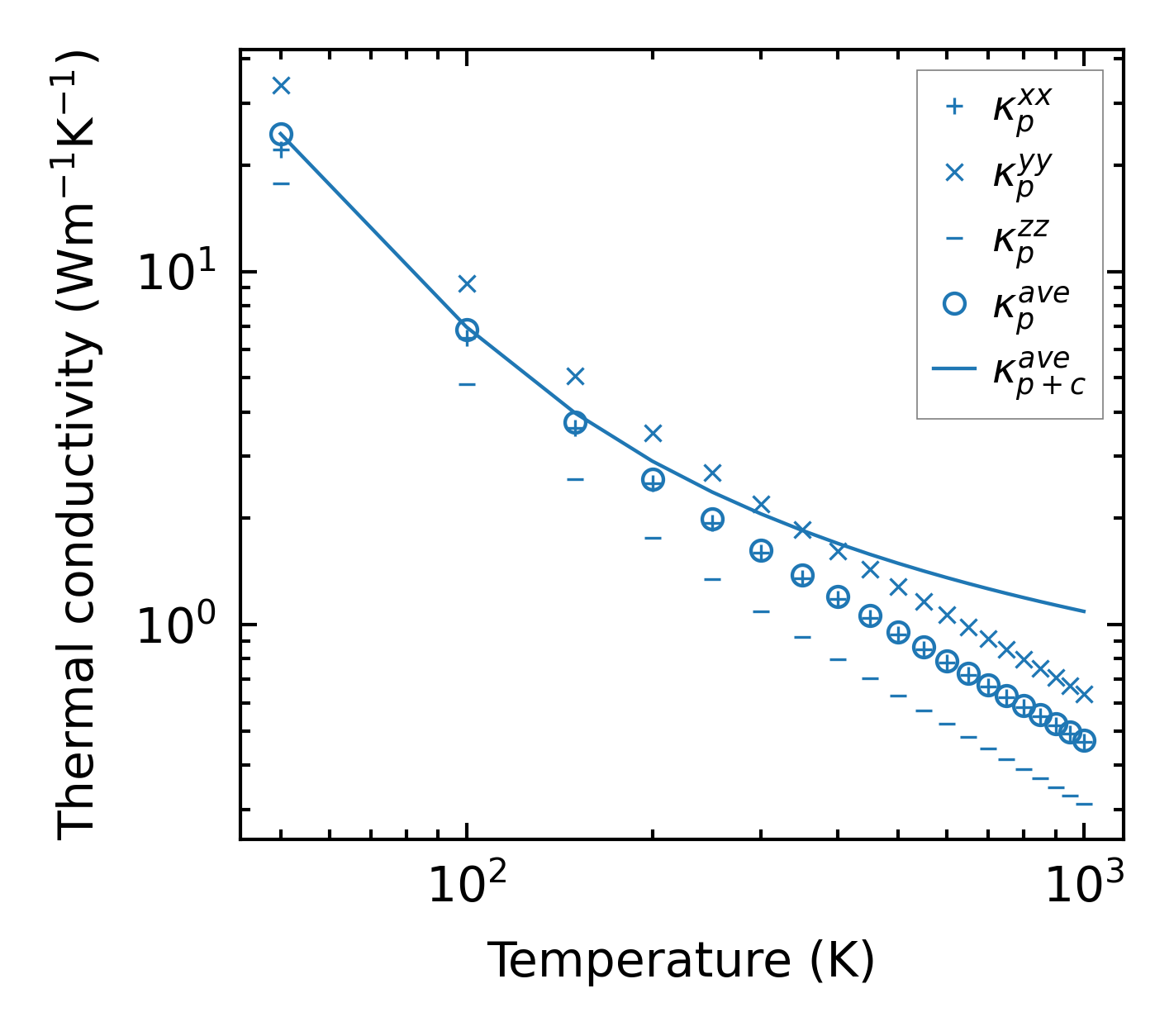
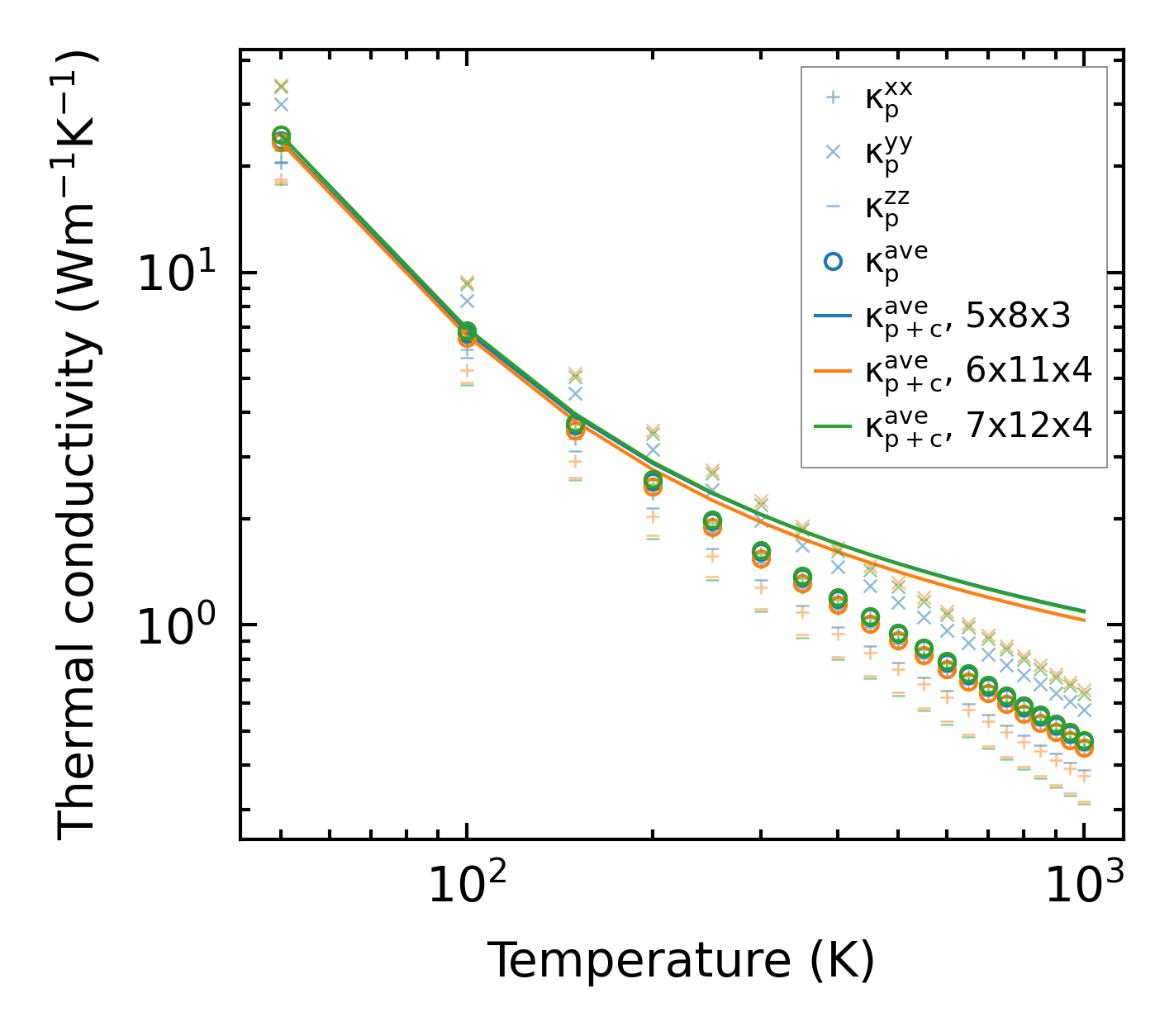
../../_images/fig_kappa2601.png

(a) Temperature-dependent lattice thermal conductivity

../../_images/fig_kappa_vs_grain_size1366.png

(b) Peierls lattice thermal conductivity w.r.t grain size

Phonon lifetime and scattering rates

../../_images/fig_lifetime1340.png

(a) Phonon lifetime due to phonon-phonon scattering

../../_images/fig_scat_rates1339.png

(b) Phonon scattering rates

Cumulative and spectral thermal conductivity

../../_images/fig_cumu_frequency1340.png

(a) Spectral and cumulative thermal conductivity w.r.t frequency

../../_images/fig_cumu_mfp1340.png

(b) Spectral and cumulative thermal conductivity w.r.t MFP

Force constants

../../_images/fig_fc22489.png

(a) Force constants w.r.t atomic distance

Summary

../../_images/fig_kappa2602.png

(a) Temperature-dependent lattice thermal conductivity

../../_images/fig_times4444.png

(b) Computation time