mp-769294/Rb8SnO6/anharm

Harmonic properties

../../_images/fig_bandos_pr2665.png

(a) Phonon dispersion with participation ratio and DOS

../../_images/fig_thermo2665.png

(b) Thermodynamic properties

Grüneisen parameters

../../_images/fig_gru_all1349.png

(a) Grüneisen parameters

../../_images/fig_gruneisen1349.png

(b) Phonon dispersion with Grüneisen parameters

Thermal conductivity

3-phonon (LASSO) — q-mesh: 10x10x4, supercell: 2x2x1

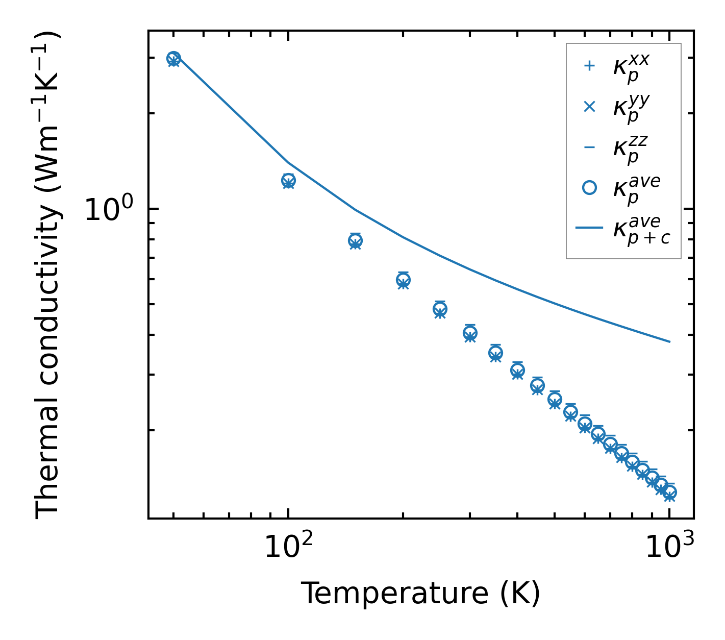
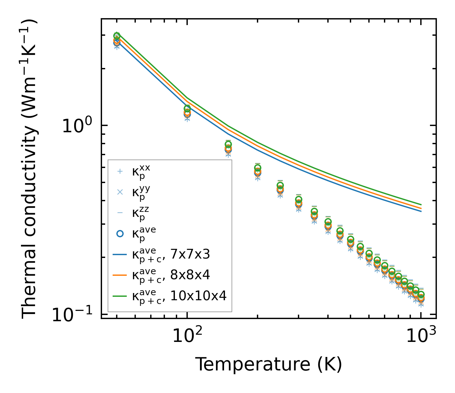
../../_images/fig_kappa2599.png

(a) Temperature-dependent lattice thermal conductivity

../../_images/fig_kappa_vs_grain_size1365.png

(b) Peierls lattice thermal conductivity w.r.t grain size

Phonon lifetime and scattering rates

../../_images/fig_lifetime1339.png

(a) Phonon lifetime due to phonon-phonon scattering

../../_images/fig_scat_rates1338.png

(b) Phonon scattering rates

Cumulative and spectral thermal conductivity

../../_images/fig_cumu_frequency1339.png

(a) Spectral and cumulative thermal conductivity w.r.t frequency

../../_images/fig_cumu_mfp1339.png

(b) Spectral and cumulative thermal conductivity w.r.t MFP

Force constants

../../_images/fig_fc22486.png

(a) Force constants w.r.t atomic distance

Summary

../../_images/fig_kappa2600.png

(a) Temperature-dependent lattice thermal conductivity

../../_images/fig_times4441.png

(b) Computation time