mp-769284/Dy2SeO2/anharm

Harmonic properties

../../_images/fig_bandos_pr2662.png

(a) Phonon dispersion with participation ratio and DOS

../../_images/fig_thermo2662.png

(b) Thermodynamic properties

Grüneisen parameters

../../_images/fig_gru_all1347.png

(a) Grüneisen parameters

../../_images/fig_gruneisen1347.png

(b) Phonon dispersion with Grüneisen parameters

Thermal conductivity

3-phonon (LASSO) — q-mesh: 19x19x11, supercell: 3x3x2

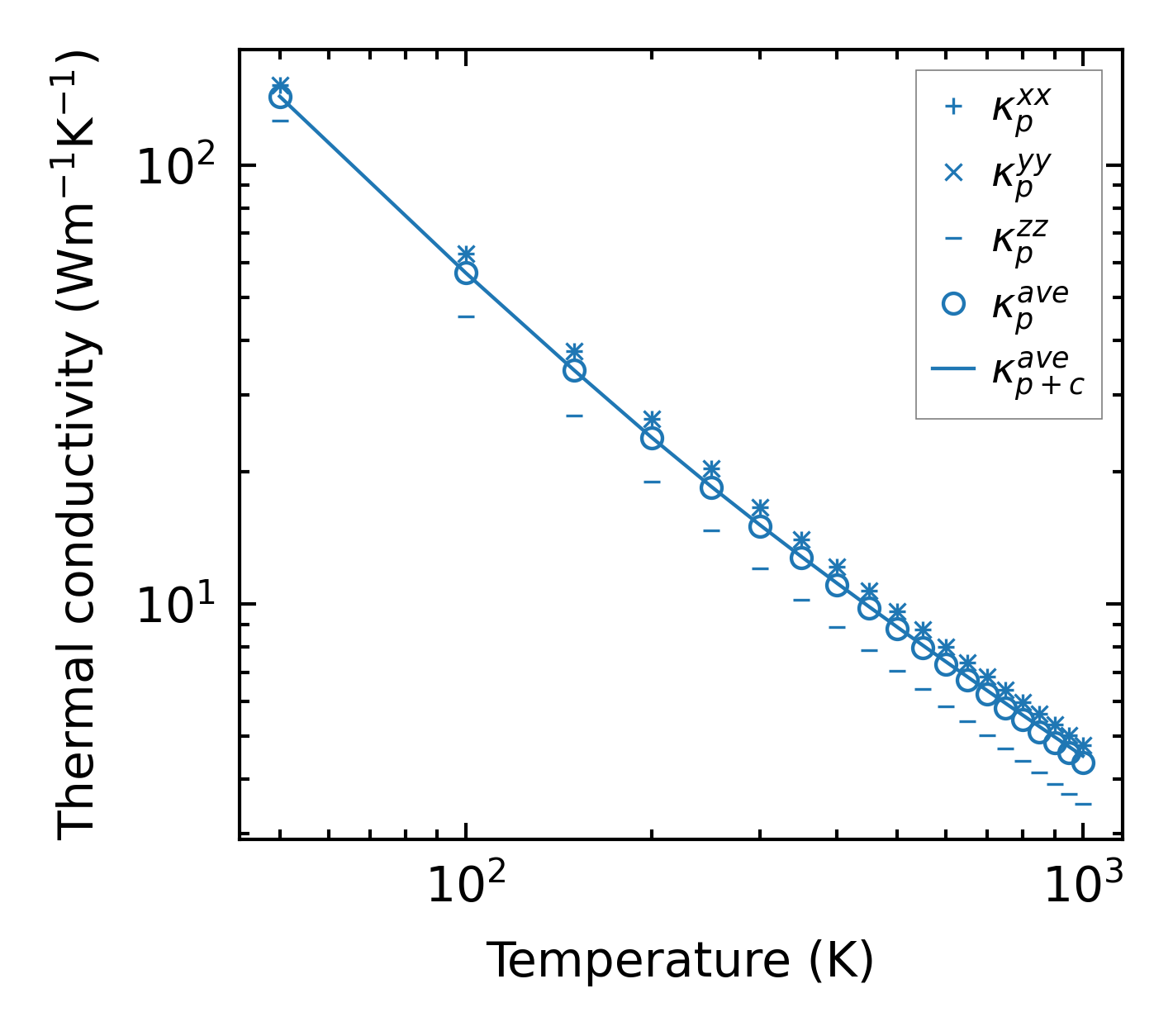
../../_images/fig_kappa2595.png

(a) Temperature-dependent lattice thermal conductivity

../../_images/fig_kappa_vs_grain_size1363.png

(b) Peierls lattice thermal conductivity w.r.t grain size

Phonon lifetime and scattering rates

../../_images/fig_lifetime1337.png

(a) Phonon lifetime due to phonon-phonon scattering

../../_images/fig_scat_rates1336.png

(b) Phonon scattering rates

Cumulative and spectral thermal conductivity

../../_images/fig_cumu_frequency1337.png

(a) Spectral and cumulative thermal conductivity w.r.t frequency

../../_images/fig_cumu_mfp1337.png

(b) Spectral and cumulative thermal conductivity w.r.t MFP

Force constants

../../_images/fig_fc22483.png

(a) Force constants w.r.t atomic distance

Summary

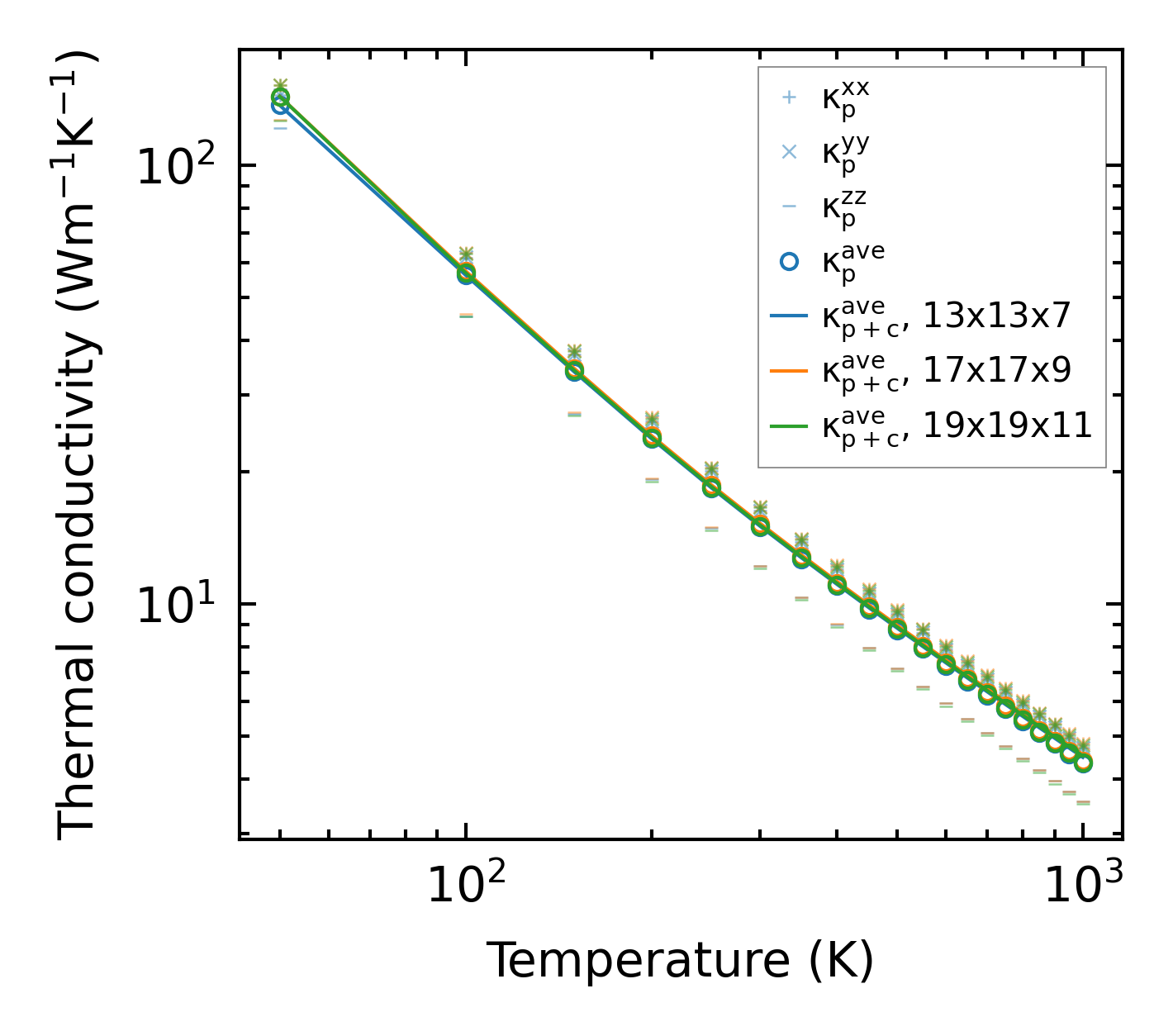
../../_images/fig_kappa2596.png

(a) Temperature-dependent lattice thermal conductivity

../../_images/fig_times4437.png

(b) Computation time