mp-769152/ScCl3O12/harm

Harmonic properties

../../_images/fig_bandos_pr2645.png

(a) Phonon dispersion with participation ratio and DOS

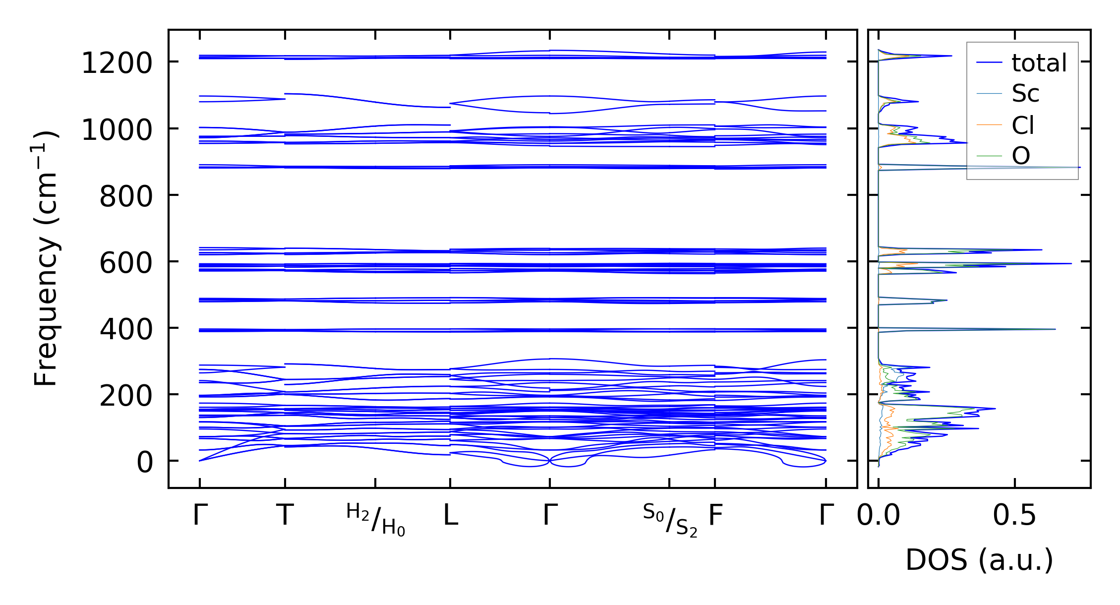
../../_images/fig_bandos3212.png

(b) Phonon dispersion and DOS

../../_images/fig_thermo2645.png

(c) Thermodynamic properties

Force constants

../../_images/fig_fc22466.png

(a) Force constants w.r.t atomic distance

Summary

../../_images/fig_times4411.png

(a) Computation time