mp-769287/Li2TiS2O/anharm

Harmonic properties

../../_images/fig_bandos_pr2664.png

(a) Phonon dispersion with participation ratio and DOS

../../_images/fig_thermo2664.png

(b) Thermodynamic properties

Grüneisen parameters

../../_images/fig_gru_all1348.png

(a) Grüneisen parameters

../../_images/fig_gruneisen1348.png

(b) Phonon dispersion with Grüneisen parameters

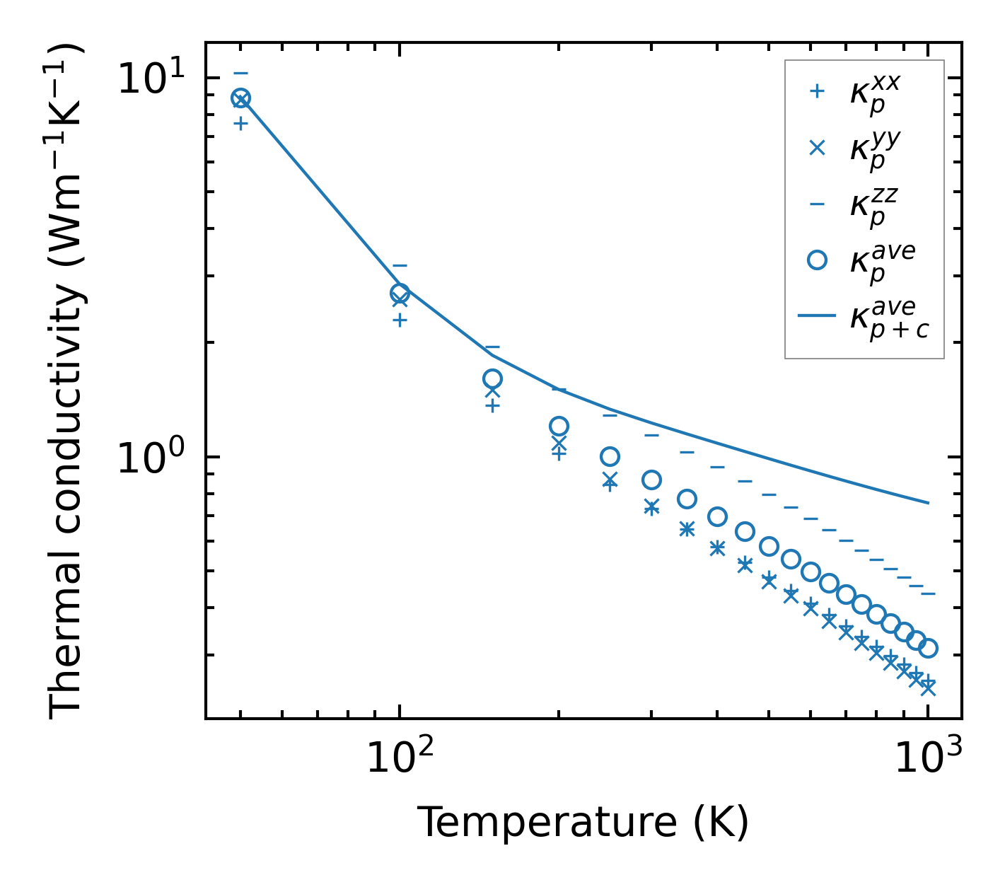
Thermal conductivity

3-phonon (LASSO) — q-mesh: 11x5x13, supercell: 2x1x3

../../_images/fig_kappa2597.png

(a) Temperature-dependent lattice thermal conductivity

../../_images/fig_kappa_vs_grain_size1364.png

(b) Peierls lattice thermal conductivity w.r.t grain size

Phonon lifetime and scattering rates

../../_images/fig_lifetime1338.png

(a) Phonon lifetime due to phonon-phonon scattering

../../_images/fig_scat_rates1337.png

(b) Phonon scattering rates

Cumulative and spectral thermal conductivity

../../_images/fig_cumu_frequency1338.png

(a) Spectral and cumulative thermal conductivity w.r.t frequency

../../_images/fig_cumu_mfp1338.png

(b) Spectral and cumulative thermal conductivity w.r.t MFP

Force constants

../../_images/fig_fc22485.png

(a) Force constants w.r.t atomic distance

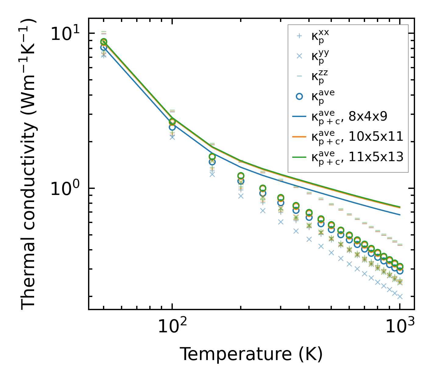
Summary

../../_images/fig_kappa2598.png

(a) Temperature-dependent lattice thermal conductivity

../../_images/fig_times4439.png

(b) Computation time