mp-626973/BaH2O2/anharm

Harmonic properties

../../_images/fig_bandos_pr5814.png

(a) Phonon dispersion with participation ratio and DOS

../../_images/fig_thermo5814.png

(b) Thermodynamic properties

Grüneisen parameters

../../_images/fig_gru_all2397.png

(a) Grüneisen parameters

../../_images/fig_gruneisen2397.png

(b) Phonon dispersion with Grüneisen parameters

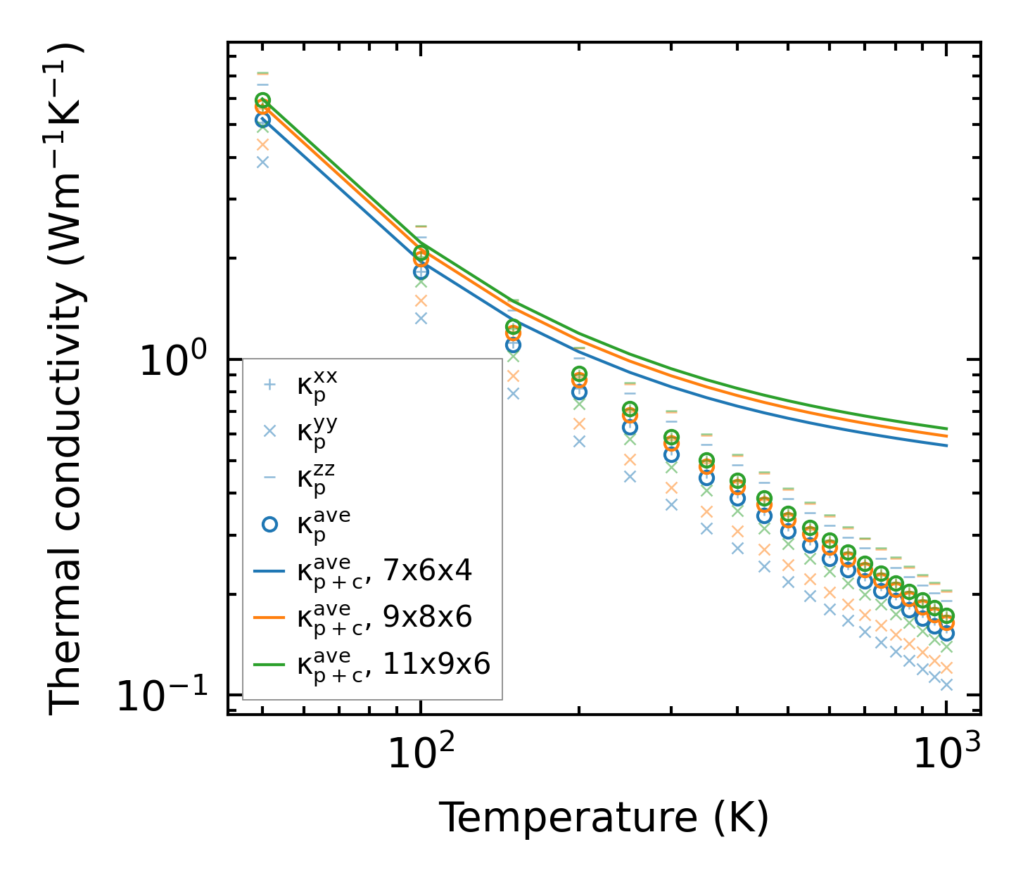
Thermal conductivity

3-phonon (LASSO) — q-mesh: 11x9x6, supercell: 2x1x1

../../_images/fig_kappa4569.png

(a) Temperature-dependent lattice thermal conductivity

../../_images/fig_kappa_vs_grain_size2428.png

(b) Peierls lattice thermal conductivity w.r.t grain size

Phonon lifetime and scattering rates

../../_images/fig_lifetime2381.png

(a) Phonon lifetime due to phonon-phonon scattering

../../_images/fig_scat_rates2380.png

(b) Phonon scattering rates

Cumulative and spectral thermal conductivity

../../_images/fig_cumu_frequency2381.png

(a) Spectral and cumulative thermal conductivity w.r.t frequency

../../_images/fig_cumu_mfp2381.png

(b) Spectral and cumulative thermal conductivity w.r.t MFP

Force constants

../../_images/fig_fc25610.png

(a) Force constants w.r.t atomic distance

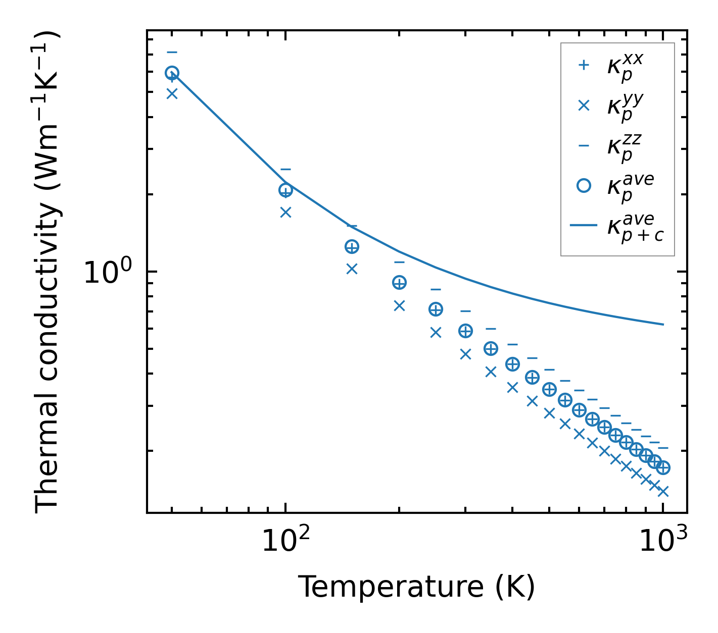
Summary

../../_images/fig_kappa4570.png

(a) Temperature-dependent lattice thermal conductivity

../../_images/fig_times10593.png

(b) Computation time