mp-626412/InH3O3/harm

Harmonic properties

../../_images/fig_bandos_pr5781.png

(a) Phonon dispersion with participation ratio and DOS

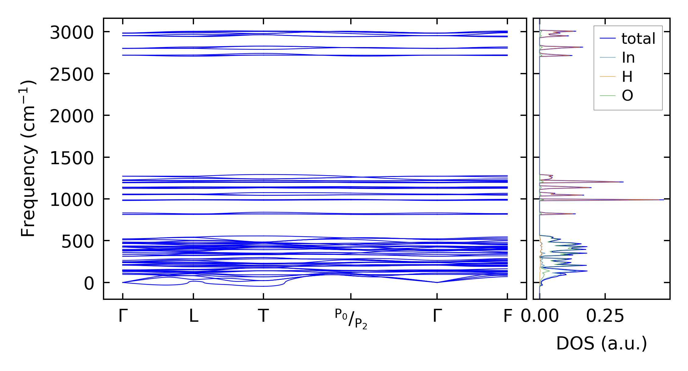
../../_images/fig_bandos8374.png

(b) Phonon dispersion and DOS

../../_images/fig_thermo5781.png

(c) Thermodynamic properties

Force constants

../../_images/fig_fc25577.png

(a) Force constants w.r.t atomic distance

Summary

../../_images/fig_times10489.png

(a) Computation time