mp-626716-2/KHO/anharm

Equation of state

../../_images/fig_bm2946.png

(a) Equation of state

Harmonic properties

../../_images/fig_bandos_pr5803.png

(a) Phonon dispersion with participation ratio and DOS

../../_images/fig_bandos8446.png

(b) Phonon dispersion and DOS

../../_images/fig_thermo5803.png

(c) Thermodynamic properties

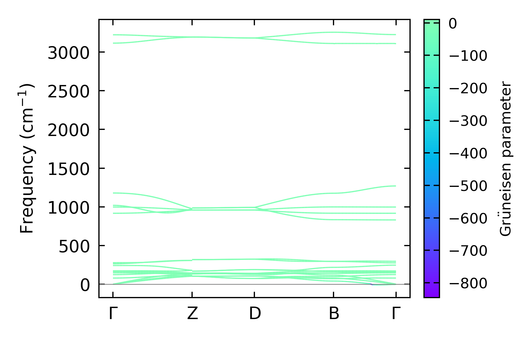
Grüneisen parameters

../../_images/fig_gru_all2391.png

(a) Grüneisen parameters

../../_images/fig_gruneisen2391.png

(b) Phonon dispersion with Grüneisen parameters

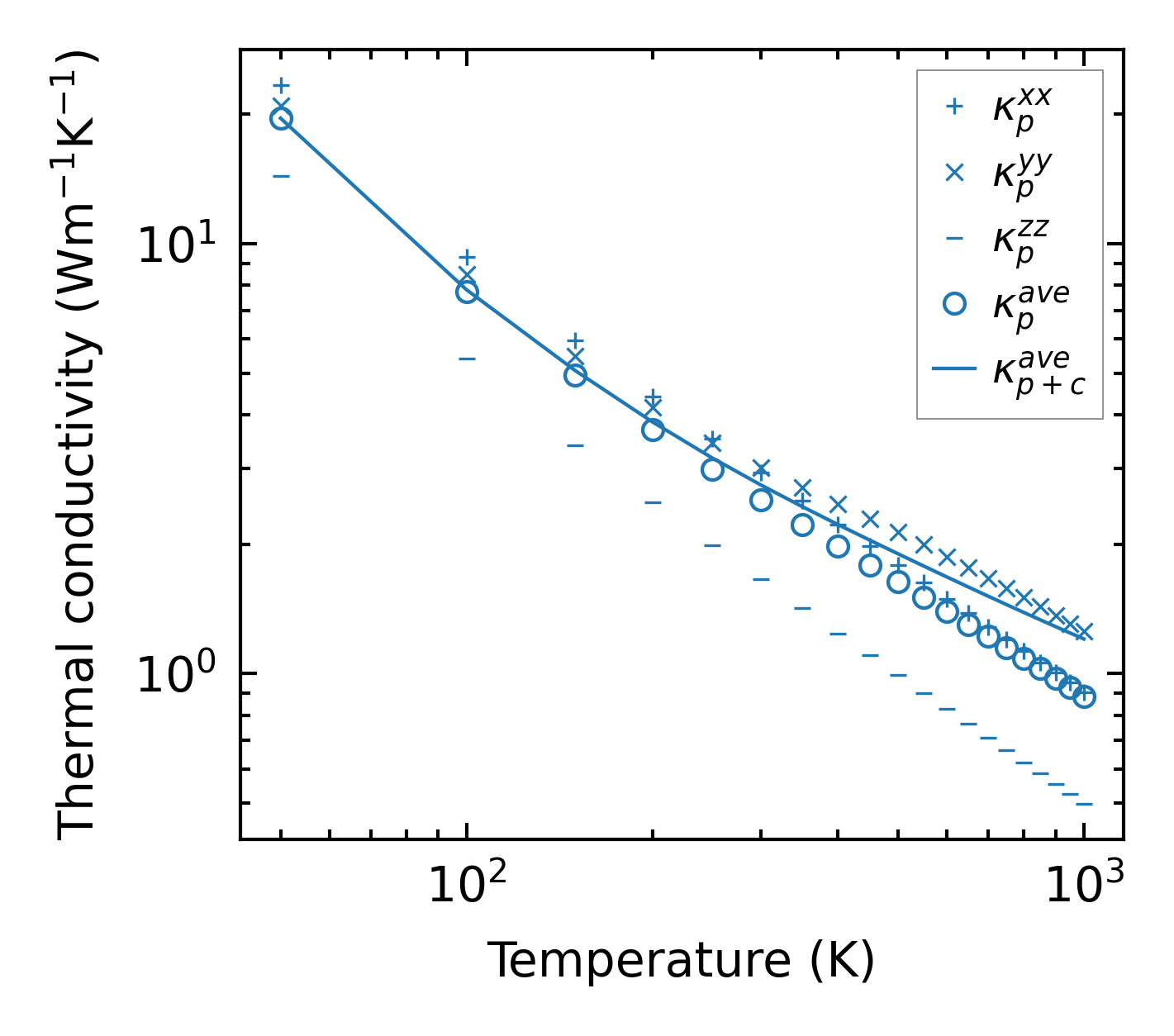
Thermal conductivity

3-phonon (LASSO), supercell 3x3x3 — q-mesh: 18x18x13, supercell: 3x3x3

../../_images/fig_kappa4559.png

(a) Temperature-dependent lattice thermal conductivity

../../_images/fig_kappa_vs_grain_size2422.png

(b) Peierls lattice thermal conductivity w.r.t grain size

Phonon lifetime and scattering rates

../../_images/fig_lifetime2375.png

(a) Phonon lifetime due to phonon-phonon scattering

../../_images/fig_scat_rates2374.png

(b) Phonon scattering rates

Cumulative and spectral thermal conductivity

../../_images/fig_cumu_frequency2375.png

(a) Spectral and cumulative thermal conductivity w.r.t frequency

../../_images/fig_cumu_mfp2375.png

(b) Spectral and cumulative thermal conductivity w.r.t MFP

Force constants

../../_images/fig_fc25599.png

(a) Force constants w.r.t atomic distance

Summary

../../_images/fig_times10562.png

(a) Computation time