mp-626878-2/CaH2O2/harm

Equation of state

../../_images/fig_bm2959.png

(a) Equation of state

Harmonic properties

../../_images/fig_bandos_pr5812.png

(a) Phonon dispersion with participation ratio and DOS

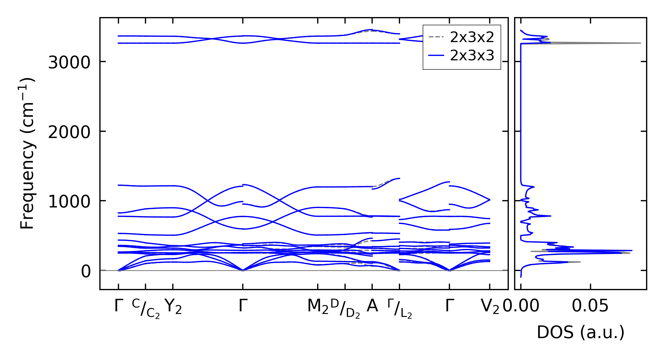
../../_images/fig_bandos8471.png

(b) Phonon dispersion and DOS

../../_images/fig_thermo5812.png

(c) Thermodynamic properties

Force constants

../../_images/fig_fc25608.png

(a) Force constants w.r.t atomic distance

Summary

../../_images/fig_times10591.png

(a) Computation time