mp-626193-2/ScH3O3/anharm

Equation of state

../../_images/fig_bm2870.png

(a) Equation of state

Harmonic properties

../../_images/fig_bandos_pr5748.png

(a) Phonon dispersion with participation ratio and DOS

../../_images/fig_bandos8297.png

(b) Phonon dispersion and DOS

../../_images/fig_thermo5748.png

(c) Thermodynamic properties

Grüneisen parameters

../../_images/fig_gru_all2386.png

(a) Grüneisen parameters

../../_images/fig_gruneisen2386.png

(b) Phonon dispersion with Grüneisen parameters

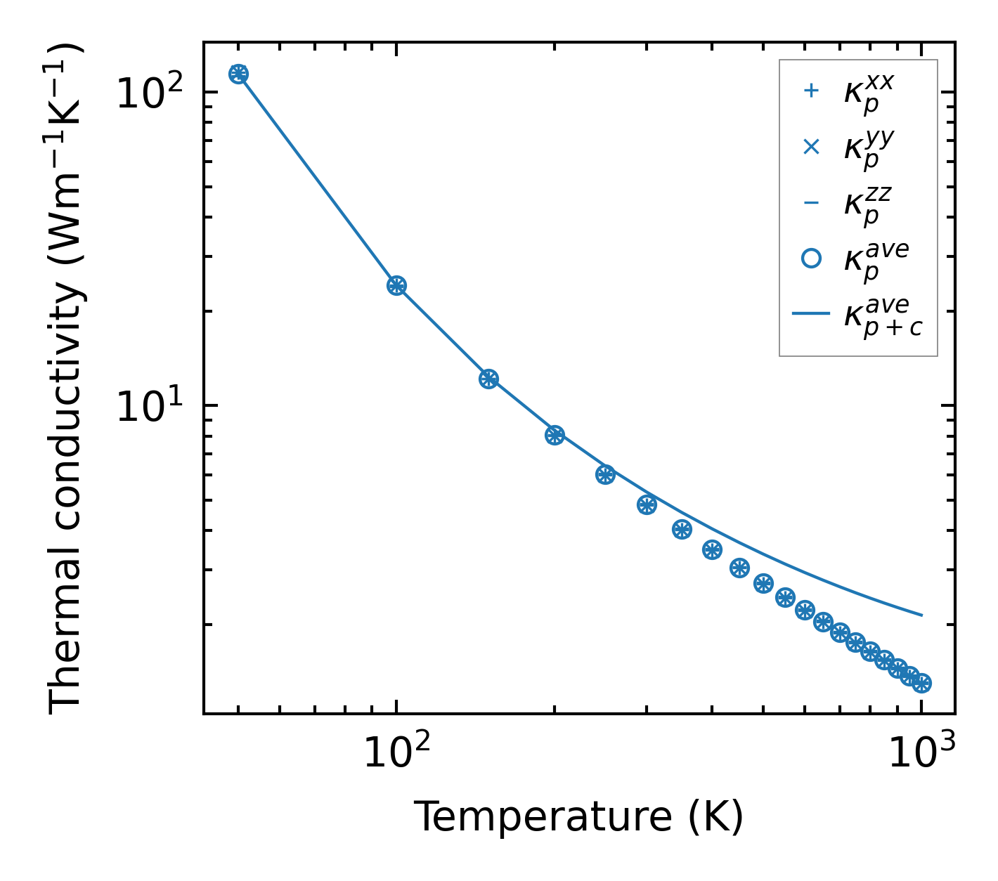
Thermal conductivity

3-phonon (LASSO), supercell 1x1x2 — q-mesh: 11x11x11, supercell: 1x1x2

../../_images/fig_kappa4553.png

(a) Temperature-dependent lattice thermal conductivity

../../_images/fig_kappa_vs_grain_size2417.png

(b) Peierls lattice thermal conductivity w.r.t grain size

Phonon lifetime and scattering rates

../../_images/fig_lifetime2370.png

(a) Phonon lifetime due to phonon-phonon scattering

../../_images/fig_scat_rates2369.png

(b) Phonon scattering rates

Cumulative and spectral thermal conductivity

../../_images/fig_cumu_frequency2370.png

(a) Spectral and cumulative thermal conductivity w.r.t frequency

../../_images/fig_cumu_mfp2370.png

(b) Spectral and cumulative thermal conductivity w.r.t MFP

Force constants

../../_images/fig_fc25544.png

(a) Force constants w.r.t atomic distance

Summary

../../_images/fig_times10412.png

(a) Computation time